Главная >> Математика 5 класс. Виленкин

§ 7. Умножение и деление десятичных дробей

35. Деление десятичных дробей на натуральные числа (продолжение)

1344. Собрали 36,9 т клубники. На консервный завод отправили собранной клубники, а остальную клубнику передали для продажи населению. Сколько тонн клубники было продано населению?

1345. Для посева было приготовлено 25,2 т семян. В первый день на посев израсходовали всех семян, а во второй — остатка. Сколько семян осталось после двух дней посева?

1346. На соревнованиях по бегу Вася пробежал дистанцию за 1,2 мин, что составило времени, затраченного Колей на эту же дистанцию. За какое время Коля пробежал дистанцию?

1347. Электрифицировано 16,1 км железной дороги, что составляет всей дороги между двумя станциями. Какова длина дороги между этими станциями?

1348. Решите уравнение:

а) 4х - х = 8,7;    в) а + а + 8,154 = 32;
б) 3у + 5у = 9,6;    г) 7 - 4 - 55,2 = 63,12.

1349. В двух корзинах 16,8 кг помидоров. Масса помидоров в одной корзине в 2 раза больше, чем в другой. Сколько килограммов помидоров в каждой корзине?

1350. Площадь первого поля в 5 раз больше площади второго. Чему равна площадь каждого поля, если площадь второго на 23,2 га меньше площади первого?

1351. Для приготовления компота составили смесь из 8 частей (по массе) сухих яблок, 4 частей урюка и 3 частей изюма. Сколько килограммов каждого из сухофруктов понадобилось для 2,7 кг такой смеси?

1352. В двух мешках 1,28 ц муки. В первом мешке на 0,12 ц муки больше, чем во втором. Сколько центнеров муки в каждом мешке?

1353. В двух корзинах 18,6 кг яблок. В первой корзине яблок на 2,4 кг меньше, чем во второй. Сколько килограммов яблок в каждой корзине?

1354. Представьте в виде десятичной дроби:

1355. Чтобы собрать 100 г мёда, пчела доставляет в улей 16 тыс. нош нектара. Какова масса одной ноши нектара?

1356. В пузырьке 30 г лекарства. Найдите массу одной капли лекарства, если в пузырьке 1500 капель.

1357. Представьте обыкновенную дробь в виде десятичной и выполните действия:

1358. Решите уравнение:

а) (х - 5,46) • 2 = 9; б) (у + 0,5) : 2 = 1,57.

1359. Найдите значение выражения:

а) 91,8 : (10,56 - 1,56) + 0,704;
б) (61,5 - 5,16) : 30 + 5,05;
в) 66,24 - 16,24 : (3,7 + 4,3);
г) 28,6 + 11,4 : (6,595 + 3,405);
д) 15,3 -4:9 + 3,2;
е) (4,3 + 2,4 : 8) • 3;
ж) 280,8 : 12 - 0,3 • 24;
з) (17,6 • 13 - 41,6) : 12.

1360. Вычислите устно:

1361. Выполните умножение:

а) 0,3 • 2;      е) 1,6 • 5;
б) 0,8 • 3;      ж) 3,7 • 10;
в) 1,2 • 2;      з) 0,09 • 6;
г) 2,3 • 3;      и) 0,18 • 5;
д) 0,21 • 4;     к) 0,87 • 0.

1362. Догадайтесь, каковы корни уравнения:

а) 2,9x = 2,9;    в) 3,7х = 37; д) а3 = а;
б) 5,25x = 0;    г) x2 = x; е) m2 = m3.

1363. Как изменится значение выражения 2,5а, если а: увеличить на 1? увеличить на 2? увеличить в 2 раза?

1364. Расскажите, как на координатном луче отметить число: ; ; 0,25; 0,5; 0,75. Подумайте, какие из данных чисел равны. Какой дроби со знаменателем 4 равны 0,5? Сложите: и 0,25; и 0,15.

1365. Подумайте, по какому правилу составлен ряд чисел, и запишите ещё два числа этого ряда:

а) 1,2; 1,8; 2,4; 3; ...       в) 0,9; 1,8; 3,6; 7,2; ...
б) 9,6; 8,9; 8,2; 7,5; ...     г) 1,2; 0,7; 2,2; 1,4; 3,2; 2,1; ...

1366. Выполните действия:

а) (37,8 - 19,1) • 4;         в) (64,37 + 33,21 - 21,56) • 14;
б) (14,23 + 13,97) • 31;      г) (33,56 - 18,29) • (13,2 + 24,9 - 38,1).

<<< К началу      Окончание >>>

 

 

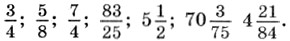
???????@Mail.ru