Главная >> Математика 5 класс. Виленкин

§ 7. Умножение и деление десятичных дробей

38. Среднее арифметическое. Математика 5 класс

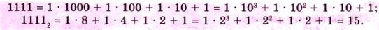
1523. В двоичной системе счисления при записи числа используют всего две цифры: 0 и 1. Число «один» записывается, как обычно, 1, но число «два» составляет уже единицу второго разряда и поэтому записывается так: 102 «одна двойка и нуль единиц» (цифра 2, находящаяся внизу в конце записи числа, означает, что число записано в двоичной системе). Число «три» изображается: 112 «одна двойка и одна единица». Число «четыре» представляет собой единицу следующего, третьего разряда и поэтому записывается так: 1002 «одна четвёрка, нуль двоек и нуль единиц». Таким образом, если в записи числа цифру 1 передвинуть влево на один разряд, то её значение увеличивается вдвое (а не в десять раз, как в нашей десятичной системе). Сравните представление числа, запись которого состоит из четырёх цифр 1, в виде суммы разрядных единиц в десятичной и двоичной системах:

Попробуйте записать в десятичной системе счисления числа, которые в двоичной системе пишутся так: 102; 1002; 1012; 1102; 11102.

Запишите в двоичной системе все натуральные числа от 1 до 15 включительно.

Подумайте, почему двоичная система широко используется в вычислительной технике, но она неудобна в повседневной практике.

1524. Найдите среднее арифметическое чисел:

а) 32,15; 31,28; 29,16; 34,54 и округлите ответ до сотых;
б) 3,234; 3,452; 4,185; 2,892 и округлите ответ до тысячных.

1525. Измерьте длину десяти своих шагов и найдите среднюю длину шага.

1526. Автомашина шла 3 ч со скоростью 53,5 км/ч, 2 ч со скоростью 62,3 км/ч и 4 ч со скоростью 48,2 км/ч. Найдите среднюю скорость движения автомашины на всём пути.

1527. Турист шёл 3,8 ч со скоростью 1,2 м/с, а затем 2,2 ч со скоростью 0,9 м/с. Какова средняя скорость движения туриста на всём пути?

1528. Среднее арифметическое двух чисел 4,6. Одно число 5,4. Найдите другое число.

1529. Среднее арифметическое двух чисел 4,4. Найдите эти числа, если одно из них на 1,4 больше другого.

1530. Среднее арифметическое трёх чисел 6. Найдите эти числа, если первое число в 2,5 раза больше, а второе в 1,5 раза больше третьего.

1531. За 7 ч тракторист вспахал 4,9 га. С какой скоростью двигался трактор, если ширина полосы, вспахиваемая плугами, равна 1,75 м?

1532. Для приготовления салата из зелёного лука берут 150 г зелёного лука и 30 г сметаны. Сколько сметаны потребуется повару, чтобы приготовить салат из 27 кг зелёного лука?

1533. Каждый год растительный мир даёт 117 млрд т прироста массы. Каждые 3 т этой массы дают столько же энергии, сколько 1 т нефти. Сколько тонн нефти может заменить прирост массы растений за 4 года?

1534. Найдите значение выражения:

а) 3,4x + 5,7х + 6,6x - 4,7x при x = 3,6; 0,8; 10;
б) 3,8m - (2,8m + 0,7m) при m = 2,4; 8,57;
в) 16,75у - (4,75у + 10,8) при у = 0,9; 3,01.

1535. Выполните действия:

а) 42,165 - 22,165 : (0,61 + 3,42);
б) 243,08 + 256,32 : (28 - 25,5).

<<< К началу

 

 

???????@Mail.ru