Главная >> Математика 6 класс с ГДЗ. Виленкин

§ 2. Сложение и вычитание дробей с разными знаменателями

11. Сравнение, сложение и вычитание дробей с разными знаменателями (окончание)

352. Сократите, а затем приведите к наименьшему общему знаменателю дроби:

353. Запишите числа:

так, чтобы их дробная часть была правильной дробью;

в виде натуральных чисел.

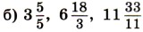
354. Запишите в виде неправильной дроби дробную часть чисел уменьшив целую часть на 1.

355. В среду в шестом классе пять уроков по разным предметам: русскому языку, истории, математике, географии и физкультуре. Сколько вариантов расписания на среду можно составить для этого класса?

356. Решите задачу:

1) Из аэропорта вылетел самолёт со скоростью 600 км/ч. Через 0,5 ч вслед за ним вылетел другой самолёт со скоростью 750 км/ч. Через сколько часов после вылета второй самолёт будет впереди на 225 км?
2) С автовокзала вышел автобус со скоростью 60 км/ч. Через 0,5 ч вслед за ним вышла легковая автомашина со скоростью 75 км/ч. Через сколько часов после своего выезда легковая автомашина будет впереди автобуса на 45 км?

357. Решите задачу:

1) Пёс бросился догонять своего хозяина, когда тот отошёл от него на 0,9 км, и догнал его через 3 мин. С какой скоростью шёл хозяин, если пёс бежал со скоростью 0,4 км/мин?
2) Служебная собака бросилась догонять нарушителя границы, когда между ними было 1,8 км. С какой скоростью бежал нарушитель, если скорость собаки 19 км/ч и она догнала его через 0,2 ч?

358. Выполните действия и проверьте ваши вычисления с помощью микрокалькулятора:

1) (28,376 + 35,99 : 5,9 - 3,45 • 2,8) : 3,52;
2) (6,4 • 8,25 - 32,396 + 35,51 : 5,3) : 4,48.

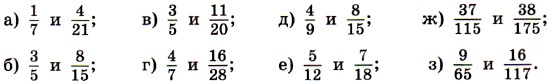
359. Сравните дроби:

360. Выполните действие:

361. Один трактор может вспахать поле за 14 ч, а другой — за 8 ч. Какой трактор больше вспашет: первый за 7 ч или второй за 5 ч?

362. Автобус проходит расстояние от города до деревни за 8 ч, а легковая автомашина — за 6 ч. Какое расстояние больше: пройденное автобусом за 5 ч или легковой машиной за 4 ч?

363. Слесарь может выполнить задание за 6 ч, а его ученик это же задание — за 8 ч. Какую часть задания они могут выполнить вместе за 1 ч?

364. Из пунктов А и В одновременно навстречу друг другу вышли два пешехода. Один из них за 1 ч проходит расстояния АВ, а другой — расстояния АВ. На какую часть расстояния АВ они сближаются каждый час?

365. Периметр треугольника ABC равен м. Сторона АВ равна , сторона ВС на м короче АВ. Найдите длину стороны АС.

366. В книге три рассказа. Наташа прочла первый рассказ за ч, на чтение второго рассказа она потратила на ч больше, а чтение третьего рассказа заняло на меньше, чем чтение первого и второго рассказов вместе. Сколько времени ушло у Наташи на чтение всей книги?

367. На решение задачи и уравнения Митя затратил ч. Сколько времени выполняла эту работу Оля, если на решение задачи она затратила на ч меньше, а на решение уравнения — на ч больше, чем Митя?

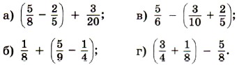
368. Выполните действия:

369. Найдите значение выражения:

370. Дорога из села в город проходит через рабочий посёлок. Из села в город вышла легковая автомашина со скоростью 1,5 км/мин. В то же самое время из рабочего посёлка в город вышла грузовая автомашина со скоростью 1 км/мин. Через 20 мин легковая автомашина догнала грузовую. Найдите расстояние от села до рабочего посёлка.

371. Теплоход «Ракета» идёт по реке со скоростью 55 км/ч. Впереди теплохода идёт баржа со скоростью 25 км/ч. Какое расстояние будет между ними через 3 ч, если сейчас баржа впереди теплохода на 50 км?

372. С железнодорожной станции в 12 ч вышел скорый поезд со скоростью 70 км/ч. На 3 ч раньше с этой же станции был отправлен в том же направлении товарный поезд. В 16 ч скорый поезд догнал товарный. Найдите скорость товарного поезда.

373. Найдите значение выражения:

а) 18,305 : 0,7 - 0,0368 : 0,4 + 0,492 : 1,2;
б) (0,0288 : 1,8 + 0,7 • 0,12) • 35,24;
в) (15,964 : 5,2 - 1,2) • 0,1;
г) (21,62 • 3,5 - 52,08 : 8,4) • 0,5.

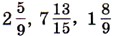
374. Запишите числа:

в виде натурального числа;

так, чтобы их дробная часть была правильной дробью.

375. Запишите дробную часть чисел в виде неправильной дроби, уменьшив целую часть этих чисел на 1.

<<< К началу      Решенния >>>

 

 

???????@Mail.ru