Главная >> Домашние работы к учебнику Виленкина. Математика 6 класс

§ 2. Сложение и вычитание дробей с разными знаменателями

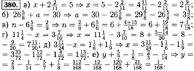
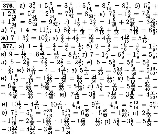
Сложение и вычитание смешанных чисел. Домашние работы

401. а) 14, 98, 80, 16, 80; б) 90, 72, б, 96, 6; в) 7, 3,5, 1,8, б, 0,6; г) 0,25, 0,3, 2,1, 5,5, 1,1; д) 0,6, 0,84, 0,9, 0,5, 1,5.

402. 5 : 2 = 2,5, 5 • 0,5 = 2,5; 5 : 0,2 = 25, 5 • 5 = 25; 5 • 10 = 50, 5 : 0,1 = 50; 5 • 1 = 5, 5 : 1 = 5.

<<< К началу   Решенния (окончание) >>>

 

 

???????@Mail.ru