Главная >> ГДЗ к учебнику Виленкина. Математика 6 класс

§ 3. Умножение и деление обыкновенных дробей

Умножение дробей. ГДЗ

460. Выполните упражнение самостоятельно.

462. Если буквы повторяются, то количество слов 6 • 6 • 6 • 6 = 1296. Если не повторяются, то 6 • 5 • 3 = 360.

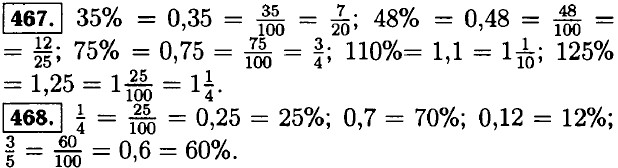
466. 0,01; 0,03; 0,15; 0,25; 0,1; 0,2; 0,5.

471. 1) 3,7x + 2,5у + 1,6х + 4,8у = 3,7x + 1,6х + 2,5у + 4,8 у = 5,3х + 7,3 у;
2) 4,5m + 1,9n + 3,3m + 4,3n = 4,5m + 3,3m + 1,9n + 4,3n = 7,8m + 6,2n.

481. Плот за t часов проплывает 2,5 -t км, а моторная лодка за t часов проплывает 9,5 • t км. Расстояние между лодкой и плотом через t часов будет равно: 35 + 2,5t - 9,5t км, или: 35 + 2,5t - 9,5t = 35 - 7t; если t = 0,5, то 35 - 7t = 35 - 7 • 0,5 = 31,5 км; если t = 3, то 35 - 7t = 35 - 7 • 3 = 14 км; если t = 5, то 35 - 71 = 35 - 7 • 5 = 0.

482. а) 9,5x - (3,2x + 1,8x) + 3,75 = 6,9 ⇒ 9,5x - 5x + 3,75 = 6,9 ⇒ 4,5x + 3,75 = 6,9 ⇒ 4,5x = 3,15 ⇒ х = 0,7; б) 11,3у - (9,7у - 0,8у) + 7,4 = 17 ⇒ 11,3у - 8,9у = 17 - 7,4 ⇒ 2,4у = 9,6 ⇒ у = 4.

483. 7,72 • 2,25 - 4,06 : (0,824 + 1,176) - 12,423 = 17,37- 4,06 : 2 - 12,423 = 17,37 - 2,03 - 12,423 = 15,34 - 12,423 = 2,917.

<<< К началу

 

 

???????@Mail.ru