Главная >> Домашние работы к учебнику Виленкина. Математика 6 класс

§ 3. Умножение и деление обыкновенных дробей

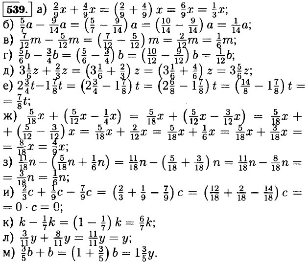
Применение распределительного свойства умножения. Домашние работы

548. Из условий задачи получаем, что 40% = 0,4. В первый раз было выдано m • 0,4 кг гвоздей. Во второй раз (m - m • 0,4) • 0,75 кг, и осталось на складе: m - m • 0,4 - (m - m • 0,4) • 0,75 = (1 - 0,4)m - (1 - 0,4)m • 0,75 = (1 - 0,4)(1 - 0,75)m = 0,6 • 0,25т - 0,15т. При m = 1200 ⇒ 0,15т = 0,15 • 1200 = 180, при m = 300 ⇒ 0,15m = 0,15 • 300 = 45, и при m = 50, то 0,15m = 0,15 • 50 = 7,5.

552. а) 14, 42, 56, 14; б) 6, 480, 720, 40; в) 7,2, 1,8, 4,8, 0,3; г) 7, 5,6, 6, 0,6; д) 0,9, 4, 0,5, 0,05.

<<< К началу   Решенния (окончание) >>>

 

 

???????@Mail.ru