Главная >> Математика 6 класс с ГДЗ. Виленкин

§ 3. Умножение и деление обыкновенных дробей

15. Применение распределительного свойства умножения

Распределительное свойство умножения относительно сложения и относительно вычитания позволяет упрощать вычисления.

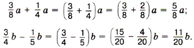
Пример 1. Найдём значение выражения

Р е ш е н и е.

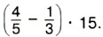
Пример 2. Найдём значение произведения

Р е ш е н и е. Представим вначале число в виде суммы его целой и дробной частей: а затем применим распределительное свойство. Получим:

  • Чтобы умножить смешанное число на натуральное число, можно: 1) умножить целую часть на натуральное число; 2) умножить дробную часть на это натуральное число; 3) сложить полученные результаты.

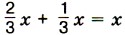
Пример 3. Найдём значение выражения

Р е ш е н и е. На основе распределительного свойства умножения представим эту сумму в виде произведения суммы и числа

Используя распределительное свойство умножения, можно упрощать вы- ражения вида

В простых случаях можно писать сразу:

— две третьих и одна третья х — это х;

— разность семи девятых х и пяти девятых х — это две девятых х.


Расскажите, как можно умножить смешанное число на натуральное число.


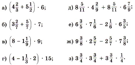
536. Найдите значение выражения:

537. Выполните умножение:

538. Найдите значение выражения:

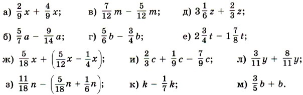
539. Упростите выражение:

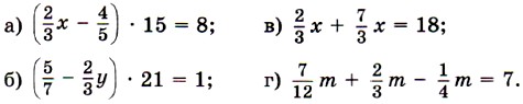
540. Решите уравнение:

541. Шаг дяди Стёпы м. Какое расстояние он пройдёт, если сделает 5 шагов; 12 шагов; 20 шагов; 24 шага?

542. Продолжительность жизни берёзы 150 лет. Сосна живёт в раза дольше берёзы, а мамонтово дерево — в 5 раз дольше сосны. Какова продолжительность жизни мамонтова дерева?

Продолжение >>>

 

 

???????@Mail.ru