Главная >> Математика 6 класс с ГДЗ. Виленкин

§ 3. Умножение и деление обыкновенных дробей

16. Взаимно обратные числа

Если умножить то получится 1:

Точно так же 1 получится при умножении 7 на и т. д.

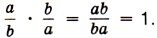
  • Два числа, произведение которых равно 1, называют взаимно обратными.

Значит, взаимно обратными будут числа Числу где обратно число

В самом деле,

Пример 1. Найдём число, обратное числу

Р е ш е н и е . Запишем число в виде неправильной дроби:

Значит, обратным будет число

Пример 2. Найдём значение произведения

Р е ш е н и е .

Значит, если число х сначала умножить на некоторое число a, а потом умножить на число, обратное а, то получим опять х.


Какие числа называют взаимно обратными?
Как записать число, обратное дроби
Как записать число, обратное натуральному числу?
Как записать число, обратное смешанному числу?


577. Будут ли взаимно обратными числа:

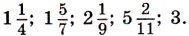
578. Найдите число, обратное числу:

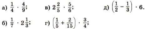
579. Найдите значение выражения:

580. Решите уравнение:

581. Вычислите устно:

582. Представьте в виде неправильной дроби:

583. Найдите наименьшее и наибольшее значения выражения если

584. Верно ли выполнены вычисления:

Ответ объясните.

Рис. 28

585. На озере находятся 7 островов, которые соединены между собой мостами так, как показано на рисунке 28. На какой остров должен доставить катер путешественников, чтобы они могли пройти по каждому мосту и только один раз? С какого острова катер должен снять этих людей? Почему нельзя доставить путешественников на остров А?

586. Выполните умножение:

587. Найдите значение выражения:

588. За три дня турист прошёл 40 км. В первый день он прошёл 40%, а во второй день — 30% всего пути. Сколько километров прошёл турист в третий день?

589. Среднее арифметическое трёх чисел равно 3,1. Найдите эти числа, если второе число больше первого на 0,9, а третье число больше первого в 2 раза.

590. Выполните действия:

1) (7,061 : 2,3 - 2,2) • (4,2 + 17,391 : 5,27);

2) (3,7 + 14,058 : 6,39) • (23,641 : 4,7 - 4,6).

591. Найдите числа, обратные числам:

592. Выполните действия:

593. Положили сушить 150 кг вишни. После сушки их масса уменьшилась на 80 %. Сколько килограммов вишни получилось после сушки?

594. Среднее арифметическое четырёх чисел 2,75. Найдите эти числа, если второе больше первого в 1,5 раза, третье больше первого в 1,2 раза и, наконец, четвёртое больше первого в 1,8 раза.

595. Найдите значение выражения:

а) 208,57 - 108,57 : ((60,4 - 57,6) • (3,6 + 3,45));

б) 565,3 - 465,3 : ((1,25 + 5,8) • (55,8 - 49,2)).

<<< К началу      Решенния >>>

 

 

???????@Mail.ru