Главная >> Математика 6 класс с ГДЗ. Виленкин

§ 3. Умножение и деление обыкновенных дробей

17. Деление (окончание)

626. Найдите число, обратное числу:

627. Докажите, что числа а и 6 взаимно обратны, если:

628. Выполните деление и результат округлите до сотых:

а) 3,2 : 0,7;        в) 175 : 23;
б) 14,28 : 3,6;       г) 0,00677 : 1,3.

629. Округлите числа:

а) 0,479; 1,071; 2,750; 4,4981 до десятых;
б) 0,0825; 0,8537; 1,3576; 4,57003 до тысячных.

630. На лыжных соревнованиях Света пробежала дистанцию за 1 мин 46 с, а Таня — на 15% быстрее. Какой результат показала Таня?

631. Решите задачу:

1) Из 250 лошадей было 30 вороных, а 0,7 всех лошадей были серыми. Кроме вороных и серых, были лишь лошади рыжей масти. Сколько было лошадей рыжей масти?
2) Купили 120 тюбиков клея. Из них в 30 тюбиках был резиновый клей, а в 0,4 остальных тюбиков был казеиновый клей. Кроме резинового и казеинового клея был куплен и силикатный клей. Сколько тюбиков силикатного клея было куплено?

632. Решите уравнение:

1) (0,2x: + 0,4x) • 3,5 = 6,3;       3) (х - 0,2x) : 0,4 = 1,6;
2) (0,7x: - 0,2x) • 6,4 = 9,6;      4) (0,4x + х) : 0,7 = 1,6.

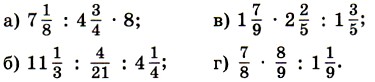
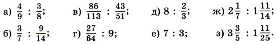
633. Выполните деление:

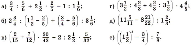
634. Найдите значение выражения:

635. Выполните действия:

636. Решите уравнение:

637. Сколько оборотов сделает колесо на расстоянии 48 м, если длина окружности колеса равна

638. За мотоциклист проехал С какой скоростью ехал мотоциклист?

639. На изготовление 16 одинаковых деталей требуется Сколько времени занимает изготовление одной детали?

640. В двух сосудах 35 л жидкости. Известно, что в одном сосуде жидкости в раза меньше, чем в другом. Сколько жидкости в каждом сосуде?

641. В двух пачках 156 тетрадей. Число тетрадей в одной пачке составляет числа тетрадей другой пачки. Сколько тетрадей в каждой пачке?

642. В парке дуб был посажен на 84 года раньше сосны. Сколько лет каждому дереву, если возраст сосны составляет 60 % возраста дуба?

643. Два катера движутся навстречу друг другу. Сейчас между ними 25 км. Скорость одного из них составляет скорости другого. Найдите скорость каждого катера, если известно, что они встретятся через

644. Турист ехал на автобусе и на поезде Всего этими видами транспорта турист проехал 456 км. При этом на автобусе он проехал того пути, который он проехал на поезде. С какой скоростью турист ехал на автобусе и с какой — на поезде?

645. Выполните деление и округлите ответ до тысячных:

а) 1,765 : 1,3;       б) 5,394 : 23;       в) 2,6 : 11,2.

646. Вычислите:

а) 74 : 100 - 0,4 : 10 + 17,8 : 1000;
б) 0,35 • 10 + 0,0237 • 100 - 0,00087 • 1000;
в) 37 • 0,01 - 0,2 • 0,1 + 8,9 • 0,001;
г) 0,7 : 0,1 + 0,0474 : 0,01 - 0,00174 : 0,001.

<<< К началу      Решенния >>>

 

 

???????@Mail.ru