Главная >> Математика 6 класс с ГДЗ. Виленкин

§ 3. Умножение и деление обыкновенных дробей

18. Нахождение числа по его дроби (окончание)

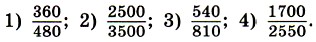
674. Выполните деление:

675. За велосипедист проехал Сколько километров проедет велосипедист за если будет ехать с такой же скоростью?

676. За пешеход прошёл Сколько километров пройдёт пешеход за если будет идти с такой же скоростью?

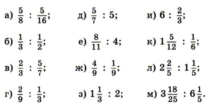
677. Сократите дробь:

678. Найдите значение выражения:

679. Выполните действия:

1) 10,1 + 9,9 • 107,1 : 3,5 : 6,8 - 4,85;
2) 12,3 + 7,7 • 187,2 : 4,5 : 6,4 - 3,4.

680. Из бочки вылили находившегося там керосина. Сколько литров керосина было в бочке, если из неё вылили 84 л?

681. Володя прочитал 234 страницы, что составляет 36% всей книги. Сколько страниц в этой книге?

682. Использование нового трактора для вспашки поля дало экономию времени в 70% и заняло 42 ч. Сколько времени потребовалось бы для выполнения этой работы на старом тракторе?

683. Столб, врытый в землю на своей длины, возвышается над землёй на Найдите всю длину столба.

684. Токарь, выточив на станке 145 деталей, перевыполнил план на 16%. Сколько деталей надо было выточить по плану?

685. Точка С делит отрезок АВ на два отрезка АС и СВ. Длина отрезка АС составляет 0,65 длины отрезка СВ. Найдите длины отрезков СВ и АВ, если АС = 3,9 см.

686. Лыжная дистанция разбита на три участка. Длина первого участка составляет 0,48 длины всей дистанции, длина второго участка составляет длины первого участка. Какова длина всей дистанции, если длина второго участка 5 км? Какова длина третьего участка?

687. Из полной бочки взяли 14,4 кг квашеной капусты и затем ещё этого количества. После этого в бочке осталось находившейся там ранее квашеной капусты. Сколько килограммов квашеной капусты было в полной бочке?

688. Когда Костя прошёл 0,3 всего пути от дома до школы, ему ещё осталось пройти до середины пути 150 м. Какой длины путь от дома Кости до школы?

689. Три группы школьников посадили деревья вдоль дороги. Первая группа посадила 35 % всех имевшихся деревьев, вторая — 60 % оставшихся деревьев, а третья группа — остальные 104 дерева. Сколько всего деревьев посадили?

690. В цехе имелись токарные, фрезерные и шлифовальные станки. Токарные станки составляли всех этих станков. Число шлифовальных станков составляло числа токарных станков. Сколько всего станков этих видов было в цехе, если фрезерных станков было на 8 меньше, чем токарных?

691. Выполните действия:

а) (1,704 : 0,8 - 1,73) • 7,16 - 2,64;
б) 227,36 : (865,6 - 20,8 • 40,5) • 8,38 + 1,12;
в) (0,9464 : (3,5 • 0,13) + 3,92) • 0,18;
г) 275,4 : (22,74 + 9,66) • (937,7 - 30,6 • 30,5).

<<< К началу      Решенния >>>

 

 

???????@Mail.ru