Главная >> Математика 6 класс с ГДЗ. Виленкин

§ 3. Умножение и деление обыкновенных дробей

19. Дробные выражения

Так как дробь равна частному 2 : 3, то и частное от деления одного выражения на другое можно записать с помощью черты. Например, выражение (41,3 - 4,4) : (15,3 + 33,9) можно записать так: Выполнив указанные действия, найдём значение этого выражения: 0,75, или

  • Частное двух чисел или выражений, в котором знак деления обозначен чертой, называют дробным выражением.

Например, - дробные выражения.

Выражение, стоящее над чертой, называют числителем, а выражение, стоящее под чертой, — знаменателем дробного выражения. Числителем и знаменателем дробного выражения могут быть любые числа, а также числовые или буквенные выражения.

С дробными выражениями можно выполнять действия по тем же правилам, что и с обыкновенными дробями.

Пример 1. Найдём значение выражения

Р е ш е н и е. Умножив числитель и знаменатель этого дробного выражения на 6, получим:

Пример 2. Найдём произведение

Решение.

Пример 3. Найдём сумму

Решение.

При сложении дробных выражений удобнее сначала представить их в виде обыкновенных дробей, а потом уже выполнять сложение:


Какое выражение называют дробным?
Как называют выражение, находящееся над чертой? под чертой?


692. Назовите числитель и знаменатель выражения:

693. Напишите дробное выражение, числитель которого 3а - 2b, а знаменатель — 6,7х + у.

694. Запишите в виде дробного выражения частное:

(3,8 • 4,5 - 0,7): (6,3 : 2,1 - 2,6).

Найдите значение этого выражения.

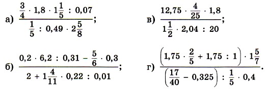
695. Найдите значение выражения:

696. Выполните действие:

697. Выполните действия:

Продолжение >>>

 

 

???????@Mail.ru