Главная >> Математика 6 класс с ГДЗ. Виленкин

§ 4. Отношения и пропорции

20. Отношения

Задача 1. От куска материи длиной 5 м отрезали 2 м. Какую часть куска материи отрезали?

Р е ш е н и е. Сначала узнаем, какую часть всего куска материи составляет 1 м. Так как в куске 5 м, то 1 м составляет куска. Значит, 2 м составляют всего куска материи. Тот же ответ можно получить, разделив 2 на 5. Действительно, Ответ можно также записать в виде десятичной дроби или в процентах:

  • Частное двух чисел называют отношением этих чисел. Отношение показывает, во сколько раз первое число больше второго или какую часть первое число составляет от второго.

Если значения двух величин выражены одной и той же единицей измерения, то их отношение называют также отношением этих величин (отношением длин, отношением масс, отношением площадей и т. д.).

Задача 2. Длина железной дороги 360 км. Электрифицировано 240 км этой дороги. Какая часть дороги электрифицирована? Во сколько раз вся дорога длиннее её электрифицированной части?

Р е ш е н и е. Чтобы найти, какая часть дороги электрифицирована, берём отношение 240 : 360. Записываем это отношение в виде дроби и сокращаем её на 120. Получим Значит, электрифицировано всей дороги.

Чтобы узнать, во сколько раз вся дорога длиннее своей электрифицированной части, берём отношение 360 : 240. Записываем его в виде дроби и сокращаем эту дробь на 120. Получим Значит, вся дорога в 1,5 раза длиннее её электрифицированной части.

Числа взаимно обратны, поэтому и отношения 2 к 3 и 3 к 2 также называют взаимно обратными.

Если значения двух величин выражены разными единицами измерения, то для нахождения отношения этих величин надо предварительно перейти к одной единице измерения.

Задача 3. Масса станка 9,6 ц, а масса электромотора 36 кг. Найдите отношение массы электромотора к массе станка.

Р е ш е н и е. Выразим массу станка в килограммах. Получим 9,6 ц = 960 кг. Значит, отношение массы электромотора к массе станка равно

Итак, масса электромотора составляет 0,0375 массы станка.

Этот ответ можно выразить в процентах: 0,0375 = 3,75 %. Значит, масса электромотора составляет 3,75% массы станка.


Что называют отношением двух чисел?
Что показывает отношение двух чисел?
Как узнать, какую часть число а составляет от числа b?
Как узнать, сколько процентов одно число составляет от другого?


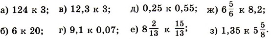
722. Найдите отношение:

723. Проволока разрезана на два куска. Первый кусок имеет длину 9 м, а второй — 14,4 м. Найдите, какую часть всей проволоки составляет первый кусок; второй кусок. Какую часть длина первого куска составляет от длины второго куска?

724. Внутри угла АОС проведён луч ОВ так, что ∠AOB = 56° и ∠BOC = 40°. Какую часть угла АОС составляет угол ЛОВ; угол ВОС? Выполните построение этих углов с помощью транспортира.

725. Площадь прямоугольника 22,05 дм2. Длина этого прямоугольника 10,5 дм. Найдите отношение длины прямоугольника к его ширине. Что показывает это отношение? Запишите отношение, обратное полученному отношению. Что будет показывать это отношение?

Продолжение >>>

 

 

???????@Mail.ru