Главная >> ГДЗ к учебнику Виленкина. Математика 6 класс

§ 4. Отношения и пропорции

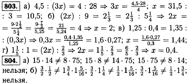
Пропорции. ГДЗ

805. 3 : 9 = 8 : 24; 3 : 8 = 9 : 24; 24 : 9 = 8 : 3.

807. В санатории 460 • (1 - 0,7) = 460 • 0,3 = 136 детей.

810. 1) 6,0008 : 2,6 + 4,23 • 0,4 = 2,308 + 1,692 = 4;
2) 2,91 • 1,2 + 12,6288 : 3,6 = 3,492 + 3,508 = 7.

819. а) 203,81 : (141 - 136,42) + 38,4 : 0,75 = 203,81 : 4,58 + 51,2 = 44,5 + 51,2 = 95,7; б) 96 : 7,5 + 288,51 : (80 - 76,74) = 12,8 + 288,51 : 3,26 = 12,8 + 88,5 = 101,3.

<<< К началу

 

 

???????@Mail.ru