Главная >> ГДЗ к учебнику Виленкина. Математика 6 класс

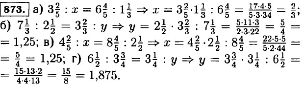
§ 4. Отношения и пропорции

Длина окружности и площадь круга. ГДЗ

862. 10 см : 1 км = 10 см : 100000 см = 1 : 10000 ⇒ масштаб карты: 1 : 10000.

863. Масштаб рисунка 50 : 1.

Остальные помещения занимают: 72,8 - 30,8 - 13,3 = 28,8 м2.

867. Выполните упражнение самостоятельно.

868. π ≈ 3,14: С = 2 • 3,14 • 36 = 226,08 см; С = 2 • 3,14 • 0,44 = 2,7632 см; С = 2 • 3,14 • 125 = 785 км.

870. Результат измерения радиуса полукруга: 1,7 см; площадь полукруга: S = πr2 : 2 = 3,14 • 1,7 • 1,7 : 2 = 4,5373 см2. Результаты измерений другой фигуры: радиус круга 1,7 см, сторона квадрата 1.4 см. Площадь круга равна удвоенной площади фигуры, вычисленной в предыдущем примере: 2 • 4,5373 = 9.0746 см2. Площадь квадрата равна: 1.4 • 1,4 = 1,96. Площадь заштрихованной фигуры: S = 9.0746 - 1,96 = 7,1146 см2.

872. Масса 6 л бензина равна: 0,8 • 6 = 4,8 кг, значит в ведро налито дёгтя: 4,8 : 1,2 = 4 л.

<<< К началу

 

 

???????@Mail.ru