Главная >> Математика 6 класс с ГДЗ. Виленкин

§ 4. Отношения и пропорции

25. Шар (окончание)

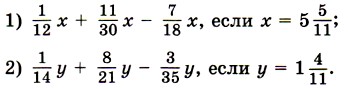
885. Найдите значение выражения:

886. Длина экватора Луны приближённо равна 10,9 тыс. км. Чему равен диаметр Луны? (Результат округлите до сотен километров.)

887. Длина окружности 3,5 дм. Чему равна длина второй окружности, у которой диаметр составляет диаметра первой окружности?

888. Найдите площадь круга, у которого диаметр равен 12 см. Найдите площадь круга, у которого диаметр в 2 раза меньше диаметра первого круга.

889. Для перевозки картофеля выделили две автомашины. На первую машину погрузили в 1,2 раза больше картофеля, чем на вторую. Сколько тонн картофеля погрузили на каждую автомашину, если на вторую погрузили на 0,9 т меньше, чем на первую?

890. Найдите значение выражения:

а) 150,88 : (3,2 • 2,3) - 60,27 : (4,1 • 1,4);
б) 592,92 : (2,7 • 7,2) - 102,48 : (6,1 • 1,6).

<<< К началу      Решенния >>>

 

 

???????@Mail.ru