Главная >> Домашние работы к учебнику Виленкина. Математика 6 класс

§ 5. Положительные и отрицательные числа

Координаты на прямой. Домашние работы (окончание)

911. Раньше всех родился Пифагор. Аристотель прожил: 384 — 322 = 62 года (даты до н.э.). Пифагор прожил: 570 — 500 = 70 лет (даты до н.э.). Плутарх прожил: 127 — 46 = 81 год.

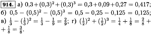
915. 357; 387; 537; 837.

916. Пусть r — радиус основания цилиндра, h — высота цилиндра. Вычислим сумму площадей верхнего и нижнего оснований цилиндра: S1 = 2 • π х r2 = 2 • 3,14 • 22 = 25,12 см2. Развёртка боковой поверхности цилиндра — это прямоугольник, одна из его сторон — это высота цилиндра. Другая сторона равна длине основания окружности цилиндра: L = 2 • π • r = 2 • 3,14 • 2 = 12,56 см. Вычислим площадь боковой поверхности цилиндра: S2 = Lh = 12,56 = 62,8 см2. Вся площадь поверхности цилиндра равна: S1 + S2 = 25,12 + 62,8 = 87,92 см2.

918. Одна птица находится слева от узла на расстоянии три клетки (3 дм), а две другие птицы находятся справа от узла на расстоянии 2 (2 дм) и 5 клеток (5 дм).

а) М(14); N(-15); Р(-9); К(2); б) М(7); N(-7,5); Р(-4,5); K(1).

923. Пусть х — длина маленьких пролётов моста, тогда х + 14 м — длина большого пролёта моста. Длина моста, то есть сумма длин всех пролётов, равна 234 м. Составим и решим уравнение: 4х + х + 14 = 234 ⇒ 5х = 220 ⇒ х = 44 м — длина маленьких пролётов. Длина большого пролёта: х + 14 = 58 м.

924. Число экскурсантов делится на 4 и 6, значит, оно делится и на 24. Среди чисел, больших 40 и меньших 50, такое число одно: 48. Экскурсантов было 48 человек.

<<< К началу

 

 

???????@Mail.ru