Главная >> Домашние работы к учебнику Виленкина. Математика 6 класс

§ 5. Положительные и отрицательные числа

Сравнение чисел. Домашние работы

а) 0 < 3; б) 0 > -5; в) 8 > 0; г) -7 < 0; д) -2 < 3; е) -7 < 1; ж) 1 > -10; з) 3 > -3; и) 1 - 8; к) -5 < -3; л) -5 > -10; м) -2 > -5.

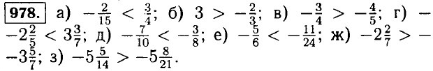
976. а) 8,9 < 9,2; б) -240 < 3,2; в) 4,5 > -800; г) -5,5 > -7,2; д) -96,9 < -90,3; е) -1000 < 0; ж) -53 < 71; з) -253 > -412.

977. Города в порядке возрастания их высоты над уровнем Мирового океана: Астрахань, Санкт- Петербург, Париж, Москва, Ереван, Мехико. В порядке убывания: Мехико, Ереван, Москва, Париж, Санкт-Петербург, Астрахань.

979. а) -3 < -2,73 < -2; б) -10 < -9,5 < -9; в) -1 < -0,63 < 0; г) 0 < 0,87 < 1; д) -2 < -14 < -1; е) -7 < -613 < -6.

980. а) 0 > n; б) у > 0; в) -х < 0; г ) 0 < -m; д) х > m; е) n < х; ж) -m > n; з) -х < у; и) |m| > m; к) -|m| = m; л) х = |х|; м) х = |-х|.

981. а) -4,3 < 0; б) 27,1 > 0; в) а < 0; г) b > 0

982. Расстояние от дятла до белки равно 7 и белка сидит от дупла дальше.

983. а) Температура в квартире выше, чем на улице на 20 - 12 = 8°С; б) на 19 + 11 = 30°С.

985. В(2m); С(-m)\ D(-m).

986. У первого купца после взаимных расчётов денег останется: 730 - 380 + 460 = 810 рублей. У второго купца после взаимных расчётов денег останется: 970 + 380 - 460 = 890 рублей.

987. Равенство верно, если a = 0; и неверно, если а < 0 или а > 0.

988. Возрасты городов даны на 1997 год. Москва в XII веке: 1997 - 850 = 1147; Новгород — в IX веке: 1997 - 1100 = 897. Рим — в VIII веке до н.э.: 1997 - 2700 = -703. Александрия — в IV веке до н.э.: 1997 - 2300 = -303. Киев - в VI веке: 1997-1400 = 597.

989. а) |x| - |y| = |-64,1| - |-7,6| = 64,1 - 7,6 = 56,5; б) |х| + |у| = |- 54,5| + |52,8| - 54,5 + 52,8 = 107,3.

994. 1) 61,71 : ((14,42 - 13,74) • 1,5) + 63,163 : 7,61 = 61,71 : (0,68 • 1,5) + 8,3 = 61,71 : 1,02 + 8,3 = 60,5 + 8,3 = 68,8; 2) 73,32 : ((15,41 - 14,76) • 1,6) + 55,186 : 6,73 = 73,32 : (0,65 • 1,6) + 8,2 = 73,32 : 1,04 + 8,2 = 70,5 + 8,2 = 78,7.

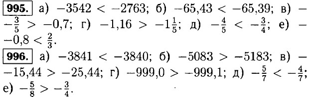
997. а) -1,6; -1,1; -1; 0; 0,1; 0,5; 2,8; б) 2,8; 0,5; 0,1; 0; -1; -1,1; -1,6.

<<< К началу

 

 

???????@Mail.ru