Главная >> Домашние работы к учебнику Виленкина. Математика 6 класс

§ 5. Положительные и отрицательные числа

Изменение величин. Домашние работы

1001. a) t = 28, повысилась на 28°С; t = -30, понизилась на 30°; t = -8, понизилась на 8°С; t = 4,5, повысилась на 4,5°; t = -1,7, понизилась на 1,7°С; б) х = -10, длина уменьшилась на 10 мм; х = 12, длина увеличилась на 12 мм; х = -9, длина уменьшилась на 9 мм; х = -4, длина уменьшилась на 4 мм.

1002. а) -б°С; б) 3,6°С; в) 60°С; г) -3,4°С.

1003. а) 6 мм; б) -5 мм; в) -23 мм; г) 18 мм.

1006. Точка Р(4) переместилась на -6 и на 2.

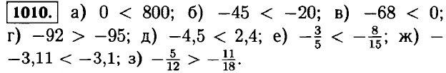
1008. Все неравенства верны.

1009. а) шар; б) пирамида; в) цилиндр; г) конус.

1011. а) -4; -3; -2; -1; 0; 1; 2; б) -3; -2; -1; 0; 1; 2; 3; в) -5; -4; -3; -2; г) -2; -1; 0; 1; 2; 3; д) -8; -7; -6; -5; -4; е) -3; -2; -1.

1013. Всего пшеницы было собрано: 560 : 0,7 = 800 т. Всего зерна собрали: 800 : 0,8 = 1000 т.

1014. Длина прямоугольника до увеличения: 11,7 : 2,6 = 4,5 дм. Площадь нового прямоугольника: (4,5 + 0,2) • (2,6 + 0,2) = 4,7 • 2,8 = 13,16 дм2.

1015. а) -2 - 5 = -7°С; б) -2 + 3 = 1°С; в) -2 + 2 = 0°С.

1097. а) (8,74 + 0,66 : 13,2 - 3,79) • 0,31 = (8,74 + 0,05 - 3,79) • 0,31 = 5 • 0,31 = 1,55; б) (9,68 - 0,77 : 15,4 + 0,87) • 4,2 = (9,68 - 0,05 + 0,87) • 4,2 = 10,5 • 4,2 = 44,1.

<<< К началу

 

 

???????@Mail.ru