Главная >> Домашние работы к учебнику Виленкина. Математика 6 класс

§ 6. Сложение и вычитание положительных и отрицательных чисел

Сложение чисел с помощью координатной прямой. Домашние работы

1021. 4 + 0 = 4; 0 + (-3) = -3; (-5) + 0 = -5; (-3) + 3 = 0; 7 + (-7) = 0.

1022. а) (-3,9 + 3,9) + (-9,1) = 0 + (-9,1) = -9,1; б) 0 + (4,8 +(-4,8)) =0 + 0 = 0.

1024. Середина отрезка АВ — это точка с координатой а.

1025. -2 + 3 = 1°С; -2 + 1 = -1°С; -2 + 2 = 0°С; -2 - 3 = -5°С; -2 + 5 = 3°С; -2 - 4 = -6°С.

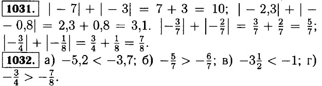
1027. А(-3); K(-213); С(-2); D(-23); М(13); В(2).

1028. а) -1 и 9; б) -4 и 2; в) -10 и -2.

1029. Отрицательные числа от -50 до -1, 0, положительные числа от 1 до 50. Всего расположено 101 целое число.

1030. а) -а > 0, если а < 0; -а < 0, если а > 0; -а = 0, если а = 0. б) -(-а) > 0, если а > 0; -(-а) < 0, если а < 0; -(-а) = 0, если а = 0.

1033. всего выстрелов было сделано: 156 : 0,78 = 200.

1034. Отрезали кусок провода: 13 • 0,3 = 3,9 м; осталось провода: 13 - 3,9 = 9,1 м.

1035. Завяло срезанных цветов: 9 : 15 = 0,6 = 60%.

1036. Глубина шкафа: 1,8 • 0,3 = 0,54 м. Ширина шкафа: 0,54 • 2,5 = 1,35 м. Объём шкафа: 1,8 • 0,54 • 1,35 = 1,3122 м3.

1037. 1) 61,7 • 52,1 - 43,6 • ((119,62 + 218,48) : 13,8) = 3214,57 - 43,6 • (338,1 : 13,8) = 3214,57 - 43,6 • 24,5 = 3214,57 - 1068,2 = 2146,37;
2) 73,2 • 48,3 - 37,4 • ((166,02+219,38) : 16,4) = 3535,56 -37,4 • (385,4 : 16,4) - 3535,56 - 37,4 • 23,5 = 3535,56 - 878,9 = 2656,66.

1038. Выполните упражнение самостоятельно.

1039. а) (-4) + 5 = 1; б) 3 + (-2) = 1; в) (-6) + 8 = 2; г) (-7) + 0 = -7; д) 8 + (-8) = 0; е) (-6) + (-5) = -11; ж) 0 + (-3) = -3; з) (-1) + (-8) = -9.

1040. В пятых классах отличников: 80 • 0,2125 = 17. В шестых классах отличников: 90 • 0,2 = 18. В шестых классах больше отличников на 18 - 17 = 1 человека.

1042. а) (203 - 20,809 - 150 + 83,079) : (1,3472 + 1,1528) = (182,191 - 150 + 83,079) : 2,5 = 115,27 : 2,5 = 46,108; б) 30,3 • (124,9 - (48,96 : 6,8 + 36,04) : 9,2) = 30,3 • (124,9 - (7,2 + 36,04) : 9,2) = 30,3 • (124,9 - 43,24 : 9,2) - 30,3 • (124,9 - 4,7) = 30,3 • 120,2 = 3542,06.

<<< К началу

 

 

???????@Mail.ru