Главная >> Математика 6 класс с ГДЗ. Виленкин

§ 6. Сложение и вычитание положительных и отрицательных чисел

32. Сложение отрицательных чисел (окончание)

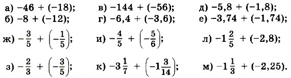
1049. Вычислите устно:

1050. Расположите числа

в порядке убывания.

1051. Известно, что х и у — положительные числа. Сравните:

1052. При каких значениях m верно неравенство:

а) m > -m;      б) -m > m;      в) m > m + m?

1053. На координатной прямой отмечены точки А(х) и В (у). Найдите координату середины С отрезка АВ, если:

а) х = 4, у = 8;      б) х = -2, у = -4;      в) х = -3, у = 5.

1054. Объём цилиндра равен произведению площади одного его основания и высоты. Объём конуса в 3 раза меньше объёма цилиндра с такими же основанием и высотой (рис. 82). Вычислите объём цилиндра и объём конуса, у которых высоты по 12 см и радиусы оснований по 2 см.

1055. Выполните действия:

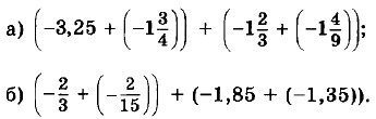
1056. Выполните сложение:

1057. Найдите значение выражения:

1058. Сплавили кусок меди, объём которого 15 см3, и кусок цинка, объём которого 10 см3. Какова масса 1 см3 сплава, если масса 1 см3 меди 8,9 г, а масса 1 см3 цинка 7,1 г? Результат округлите до десятых долей грамма.

1059. В бассейн налили 1400 м3 воды, что составляет 35% объёма всего бассейна. Чему равен объём всего бассейна?

1060. Решите уравнение:

<<< К началу      Решенния >>>

 

 

???????@Mail.ru