Главная >> ГДЗ к учебнику Виленкина. Математика 6 класс

§ 7. Умножение и деление положительных и отрицательных чисел

Деление. ГДЗ

1163. 1) а > 0, b > 0; |ab| = аб; |а| • |b| = аb; а = 3; b = 4; |аb| = |3 • 4| = 12; |а| • |b| = |3| • |4| = 12;
2) а > 0, b < 0; |аb| = -аb; |а| • |b| = а • (-b) = -аb; а = -3; b = 4; |ab| = |-3 • 4| = |-12| = 12; |а| • |b| = |-3| • |4| = 3 • 4 = 12;
3) а < 0, b > 0; |аb| = -аb; |а| • |b| = -а • 6 = -аb; а = 3; b = -4; |аb| = |3 • (-4)| = |-12| = 12; |а| • |b| = |3| • |-4| = 3 • 4 = 12;
4) а < 0, b < 0; |аb| = аb; |а| • |b| = -а • (-b) = аb; а = -3; b = -4; |аb| = |-3 • (-4)| = |12| = 12; |а| • |b| = |-3| • |-4| = 12.

1165. 9 = 3 • 3 или 9 = (-3) • (-3); 16 = 4 • 4 или 16 = (-4) • (-4); 25 = 5 • 5 или 25 = (-5) • (-5).

1166. а) -2,3 • 0,1 + 35 • (-0,01) - (-2,1) • (-0,2) = -0,23 - 0,35 - 0,42 = -1; б) (4,8 - 7,3 + 2,12,7 + 3,1) • (-183) = 0 • (-183) = 0.

1167. а) В Свердловске 2 часа ночи, но во Владивостоке 7 часов утра; б) в Лондоне 9 часов утра, в Токио 6 часов вечера, в Нью-Йорке 4 часа ночи, в Дели 2 часа дня.

1168. За t часов Костя пройдёт at км, а Вера bt км. Расстояние s между ними через t часов будет: s = at - bt = (а - b)t.

1170. а) -3; -2; -1; 0; 1; б) -5; -4; -3; -2; -1; 0; в) 0; 1; 2; 3.

1171. а) -3,82 • 0,375 - 3,8275 = -1,4325 - 3,8275 = -5,26;
б) 4,15 • (-1,236) + 3,0994 = -5,1294 + 3,0994 = -2,03.

<<< К началу

 

 

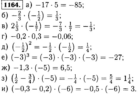
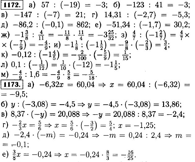
???????@Mail.ru