Главная >> Домашние работы к учебнику Виленкина. Математика 6 класс

§ 8. Решение уравнений

Коэффициент. Домашние работы

1262. а) +; б) -; в) +; г) -.

1265. a) ab < 0; б) ab > 0; в) ab > 0; г) ab < 0.

1266. а) (-6) • (-5) • (-4) • (-3) • (-2) • (-1) = 720; б) 0; в) 0; г) (-4) • (-5) • 4 • 5 = 400.

1267. а) ху > 0; б) ху > 0; в) ху < 0; г) ху = 0; д) ху = 0; е) ху = 0.

1268. а) х = 5 и х = -5; б) x = 9 и x = -3; в) x = 4 и x = -4.

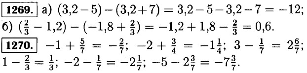
1271. Упростив выражения получаем: а) -(m + n) + (k + m) - (k - 0,13) = -т - п + k + m - k + 0,13 = -n + 0,13. При n = -2,13 ⇒ -n + 0,13 = -(-2,13) + 0,13 = 2,26; б) (с + d + k) - (с + k - 15,3) = с + d + k - с - k + 15,3 = d + 15,3. При d = -14,7 ⇒ d + 15,3 = -14,7 + 15,3 = 0,6.

1272. а) (а + b) + (р - b) = а + b + р - b - а + р; б) (-m + n) + (-k - n) = -m + n - k - n = -m - k.

1273. а) (-а + b) - (b - а) = -а + b - b + а = 0; б) (-4 - m) - (6,4 - m) = -4 - m - 6,4 + m = -10,4.

1274. 1) -2,6 • (3 - 3,8) + 4,2 • (4 - 2,7) = -2,6 • (-0,8) + 4,2 • 1,3 = 2,08 + 5,46 = 7,54; 2) -1,212 : 0,4 + 2,9 • (2 - 4,3) = -3,03 + 2,9 • (-2,3) = -3,03 - 6,67 = -9,7.

1276. а) -13,6 • ( -7 ,2 + 313,2 : 8,7) = -1 3 ,6 • ( - 7 ,2 + 36) = -13,6 • 28,8 = -391,68; б) -16,3 • (-8,3 + 212,8 : 7,6) = -16,3 • (-8,3 + 28) = -16,3 • 19,7 = -321,11; в) -9,396 : 2,7 - 0,2 • 1,7 = -3,48 - 0,34 = -3,82; г) -0,8 • 1,6- 14,911 : 3,7 = -1,28 - 4,03 = -5,31.

<<< К началу

 

 

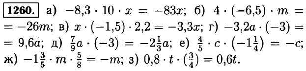
???????@Mail.ru