Главная >> Математика 6 класс с ГДЗ. Виленкин

§ 8. Решение уравнений

40. Коэффициент

 

Переместительное и сочетательное свойства умножения позволяют упрощать выражения.

Пример 1. Упростим выражение 0,3а • (-0,7b).

Р е ш е н и е. Это выражение является произведением четырёх множителей: 0,3 • а • (-0,7) • b. Сгруппировав отдельно числовые и отдельно буквенные множители, получим:

0,3а • (-0,7b) = 0,3 • а • (-0,7) • b = (0,3 • (-0,7)) • (а • b) = -0,21 аb.

Число -0,21 называют коэффициентом в полученном выражении.

  • Если выражение является произведением числа и одной или нескольких букв, то это число называют числовым коэффициентом (или просто коэффициентом).

Коэффициент обычно пишут перед буквенными множителями.

Коэффициентом такого выражения, как а или ab, считают 1, так как a = 1 • а; ab = 1 • ab.

При умножении -1 на любое число а получается число -а:

-1 • a = -а.

Поэтому числовым коэффициентом выражения -а считают число -1.

Пример 2. Найдём коэффициент выражения -а • (-b).

Р е ш е н и е. Так как -а • (-b) = ab, то, значит, коэффициентом выражения -а • (-b) является 1.


Что называют числовым коэффициентом выражения?
Чему равен коэффициент выражения ах? А выражения -ах?


1260. Упростите выражение:

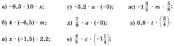
1261. Найдите коэффициент произведения:

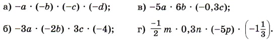
1262. Определите знак коэффициента:

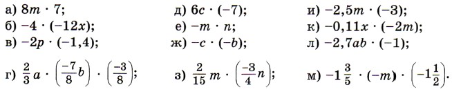
1263. Упростите выражение и подчеркните коэффициент:

1264. Вычислите устно:

Окончание >>>

 

 

???????@Mail.ru