Главная >> Математика 6 класс с ГДЗ. Виленкин

§ 8. Решение уравнений

41. Подобные слагаемые (продолжение)

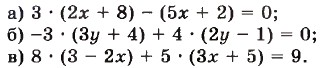
1287. Решите уравнение:

1288. В мешок помещается 20 кг картофеля или 14 кг капусты. В столовую привезли картофеля на 3 мешка больше, чем капусты. Всего привезли 1,62 ц картофеля и капусты. Сколько привезли мешков картофеля и сколько капусты?

1289. Турист шёл 3 ч пешком и 4 ч ехал на велосипеде. Всего он проделал путь в 62 км. С какой скоростью турист шёл пешком, если он шёл на 5 км/ч медленнее, чем ехал на велосипеде?

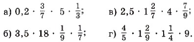
1290. Вычислите устно:

1291. Чему равна сумма тысячи слагаемых, каждое из которых равно -1? Чему равно произведение тысячи множителей, каждый из которых равен -1?

1292. Найдите значение выражения:

    1 - 3 + 5 - 7 + 9 - 11 + ... + 97 - 99.

1293. Решите устно уравнение:

1294. Выполните умножение:

1295. Чему равен коэффициент в каждом из выражений:

Расстояние от Москвы до Нижнего Новгорода 440 км. Каким должен быть масштаб карты, чтобы на ней это расстояние имело длину 8,8 см?

1297. Отрезком какой длины изображается на карте расстояние 35 км, если масштаб карты 1 : 100 000?

1298. Расстояние от Киева до Одессы изображается на карте, масштаб которой 1 : 10 000 000, отрезком 6,5 см. Определите это расстояние на местности.

1299. Прямоугольник на плане, масштаб которого 2 : 5, имеет длину 38 мм, а ширину 26 мм. Найдите площадь этого прямоугольника в натуре.

1300. Отрезок на плане, масштаб которого 2 : 7, изображается отрезком 4,2 см. Какой длины будет этот отрезок на плане, сделанном в масштабе 5:3?

1301. Решите задачу:

    1) Комбайнер перевыполнил план на 15% и убрал зерновые на площади 230 га. Сколько гектаров по плану должен убрать комбайнер?

    2) Бригада плотников израсходовала на ремонт здания 4,2 м3 досок. При этом она сэкономила 16% выделенных для ремонта досок. Сколько кубических метров досок было выделено на ремонт здания?

1303. Решите с помощью графа задачу: «Марина, Лариса, Жанна и Катя умеют играть на разных инструментах (пианино, виолончели, гитаре, скрипке), но каждая только на одном. Они же знают иностранные языки (английский, французский, немецкий, испанский), но каждая только один. Известно:

    1) девушка, которая играет на гитаре, говорит по испански;

    2) Лариса не играет ни на скрипке, ни на виолончели и не знает английского языка;

    3) Марина не играет ни на скрипке, ни на виолончели и не знает ни немецкого, ни английского языка; 4) девушка, которая говорит

1302. Найдите значение выражения:

    1) -3,4 • 7,1 - 3,6 • 6,8 + 9,7 • 8,6;

    2) -4,1 • 8,3 + 2,5 • 7,9 - 3,9 • 4,2.

<<< К началу      Окончание >>>

 

 

???????@Mail.ru