Главная >> Домашние работы к учебнику Виленкина. Математика 6 класс

§ 8. Решение уравнений

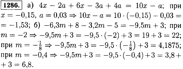
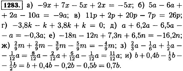
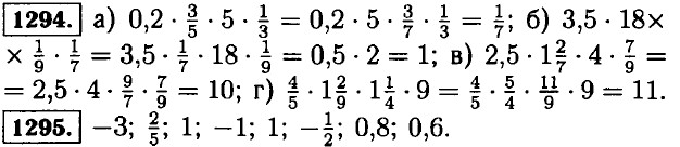
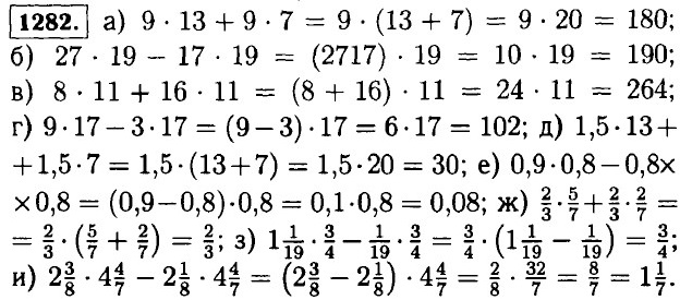
Подобные слагаемые. Домашние работы

1281. а) (а - b + с) • 8 = 8а - 8b + 8с; б) -5 • (m - n - k) = -5m + 5n + 5k; в) а • (b - m + n) = ab - am + an; г) -а • (6b - 3с + 4) = -баb + 3ас - 4а; д) (3m - 2k + 1) • (-3) = -9m + 6k - 3; е) -2а • (b + 2с - 3m) = -2аb - 4ас + 6аm; ж) (-2а + 3b + 5с) • 4m = -8аm + 12bm + 20сm; з) -а • (3m + k - n) = -3аm - аk + аn.

1287. а) 3 • (2х + 8) - (5x + 2) = 0 ⇒ 6x + 24 - 5x - 2 = 0 ⇒ x + 22 = 0 ⇒ x = -22; б) -3 ⇒ (3у + 4) + 4 • (2у - 1) = 0 ⇒ -9у -12 + 8у = 0 ⇒ -у - 16 = 0 ⇒ -у - 16 = 0 ⇒ у = -16; в) 8 • (3 - 2х) + 5 • (3х + 5) = 9 ⇒ 24 - 16x + 15x + 25 = 9 ⇒ -х + 49 = 9 ⇒ х = 40.

1288. Пусть в столовую привезли х мешков капусты, тогда картошки привезли х + 3 мешка. Всего капусты привезли 14x кг, а картошки 20(х + 3) кг, что вместе составляет 1,62 ц = 162 кг. Составим и решим уравнение: 14x + 20(х + 3) = 162 ⇒ 14x +20x + 60 = 162 ⇒ х = 3 мешка капусты, а картошки привезли: х + 3 = 6 мешков.

1289. Пусть х — скорость туриста на велосипеде, тогда скорость туриста пешком равна: х - 5 км/ч. За 3 часа движения пешком и 4 часа движения на велосипеде турист проделал путь в 62 км. Составим и решим уравнение: 4x + 3 • (x - 5) = 62 ⇒ 4x + 3x - 15 = 62 ⇒ 7x = 77 ⇒ х - 11 км/ч — скорость триста на велосипеде, а скорость туриста пешком: х - 5 = 11 - 5 = 6 км/ч.

1290. а) -56, 4, -60, -21; б) -52, 4, -68, -100; в) 98, -49, -51, -3; г) 45, 3, -51, -100.

1291. - 1 = (-1) • 1000 = -1000, так как число отрицательных множителей чётно, то произведение будет положительным и равным 1.

1292. 1 - 3 + 5 - 7 + 9 - 11 + ... + 97 - 99 = (-2) • 25 = -50.

1293. а) х = -4; б) нет решения; в) m — любое число; г) у = 3 или у = -1.

1296. 1 км = 100 000 cm; 8,8 : 44 000 000 = 0,2 : 1 000 000 = 1 : 5 000 000.

1297. 1 km = 100 000 cm; 35 km= 35 000 м = 3 500 000 см; 3 500 000 : 100 000 = 35 cm.

<<< К началу   Решенния (окончание) >>>

 

 

???????@Mail.ru