Главная >> Математика 6 класс с ГДЗ. Виленкин

§ 8. Решение уравнений

42. Решение уравнений (окончание)

1339. Найдите значение выражения:

1340. Старинная задача.

— Скажи мне, учитель, сколько учеников посещают твою школу и слушают твои беседы.

— Вот сколько, — ответил учитель. — Половина изучает математику, четверть — природу, седьмая часть проводит время в размышлении, и, кроме того, есть ещё три женщины.

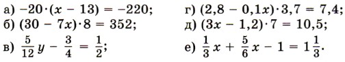
1341. Решите уравнение и выполните проверку:

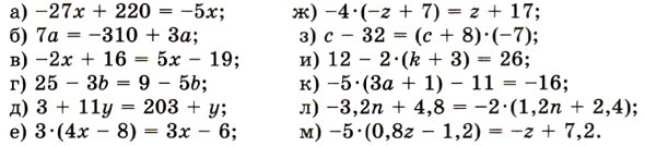
1342. Решите уравнение:

1343. Одно число больше другого в 4,5 раза. Если от большего числа отнять 54, а к меньшему прибавить 72, то получатся равные результаты. Чему равны эти числа?

1344. Бутылка с кефиром в 2 раза тяжелее пустой бутылки (рис. 94). Галя выпила половину бутылки кефира. Сколько граммов кефира выпила Галя?

1345. У Миши и Коли в коллекциях было одинаковое число марок. Когда Миша подарил часть своих марок младшему брату, а Коля в 1,4 раза меньшее число своих марок отдал на выставку, у Миши осталось 20 марок, а у Коли — 40 марок. Сколько марок было у каждого мальчика первоначально, сколько марок Коли на выставке и сколько марок Миша подарил брату?

1346. На одной полке было в 3 раза больше книг, чем на другой. Когда с одной полки сняли 8 книг, а на другую положили 32 книги, то на полках стало книг поровну. Сколько книг было на каждой полке первоначально?

1347. В двух бочках 725 л бензина. Когда из первой бочки взяли а из второй бочки бензина, то в обеих бочках бензина стало поровну. Сколько литров бензина было в каждой бочке первоначально?

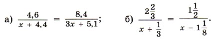
1348. Решите уравнение, используя основное свойство пропорции:

1349. Смешали индийский и грузинский чай. Индийский чай составил 30% всей смеси. Если в эту смесь добавить ещё 120 г индийского чая, то он будет составлять 45% смеси. Сколько граммов индийского чая было в смеси первоначально?

1350. Поезд шёл 3,5 ч со скоростью 64,4 км/ч. На сколько надо увеличить скорость поезда, чтобы пройти это расстояние за 2,8 ч?

1351. Одна поливочная машина может полить всю улицу за 15 мин, а другая — за 12 мин. Какую часть улицы польют обе машины за 1 мин? за 3 мин?

<<< К началу      Решенния >>>

 

 

???????@Mail.ru