Главная >> ГДЗ к учебнику Виленкина. Математика 6 класс

§ 8. Решение уравнений

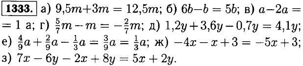
Решение уравнений. ГДЗ

1332. а) а < 0; б) а > 0; в) а < 0.

1334. a) 2х - (х + 1) = 2х - х - 1 = х - 1; б) n + 2(3n - 1) = n + 6n - 2 = 7n - 2.

1338. 1) 5 • (7у - 2) - 7 • (5у + 2) = 35у - 10 - 35у - 14 = -24; 2) 4 • (8а + 3) - 8 • (4а - 3) = 32а + 12 - 32а + 24 = 36.

1339. 1) (503,44 : 12,4 - 225,36 : 7,2) • (1,6905 : 0,49) = (40,6 - 31,3) • 3,45 = 32,085; 2) (971,1 : 23,4 - 211,14 : 6,9) • (6,5704 : 0,86) = (41,5 - 30,6) • 7,64 = 10,9 • 7,64 = 83,276.

1343. Пусть х — меньшее число, тогда большее число — 4,5х. Если от большего числа отнять 54, а к меньшему прибавить 72, то получатся равные результаты. Составим и решим уравнение: 4,5х - 54 = х + 72 ⇒ 4,5х - х = 72 + 54 ⇒ 3,5х = 126 ⇒ х = 36 — меньшее число. Большее число: 4,5х = 4,5 • 36 = 162.

1344. Примем за х масса пустой бутылки, тогда 2х кг масса бутылки с кефиром. Из рисунка следует, что две бутылки с кефиром и гири массой 1,5 кг уравновешены на весах одной пустой бутылкой и гирями массой 3 кг. Составим и решим уравнение: 2х + 2х + 1,5 = х + 3 ⇒ 3х = 1,5 ⇒ х = 0,5 кг — масса пустой бутылки. Масса бутылки с кефиром: 2х = 2 • 0,5 = 1 кг. Масса кефира в бутылке 1 - 0,5 = 0,5 кг. Галя выпила 0,5 : 2 = 0,25 кг = 250 г кефира.

1345. Пусть Коля отдал на выставку х марок, тогда Миша подарил брату 1,4х. Составим и решим уравнение: 1,4х + 20 = х + 40 ⇒ 0,4х = 20 ⇒ х = 50 марок отдал на выставку Коля. У каждого мальчика было 50 + 40 = 90 марок. Миша подарил брату 1,4 • 50 = 70 марок.

1346. Пусть на второй полке было х книг, тогда на первой полке было 3х книг. После того, как с первой полки сняли 8 книг, а на другую полку положили 32 книги, то на обеих полках стало книг поровну. Составим и решим уравнение: 3х - 8 = х + 32 ⇒ 2х = 40 ⇒ х = 20 книг было на второй полке. На первой полке было: 3х = 3 • 20 = 60 книг.

1349. Пусть первоначально в смеси было х г индийского чая. Масса всей смеси равнялась х : 0,3 г, после добавления 120 г индийского чая вся масса стала равняться (х + 120) : 0,45. Составим и решим уравнение: х : 0,3 + 120 = (x + 120) : 0,45 ⇒ х : 0,3 • 0,9 + 120 • 0,9 = (x + 120) : 0,45 • 0,9 ⇒ 3x + 108 = 2x + 240 ⇒ x = 132 г.

1350. Поезд, двигаясь со скоростью 64,4 км/ч, за 3,5 часа пройдёт расстояние: 64,4 • 3,5 = 225,4 км. Чтобы пройти это расстояние за 2,8 часа, поезд должен двигаться со скоростью: 225,4 : 2,8 = 80,5 км/ч. Скорость поезда надо увеличить на: 80,5 - 64,4 = 161,1 км/ч.

<<< К началу

 

 

???????@Mail.ru