Главная >> Математика 6 класс с ГДЗ. Виленкин

§ 9. Координаты на плоскости

44. Параллельные прямые (окончание)

1375. Постройте угол АОВ, равный 35°. Отметьте точку М на стороне ОА и точку N на стороне ОB. Проведите через точку М прямую, перпендикулярную стороне ОB, а через точку N прямую, перпендикулярную стороне ОА.

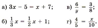
1376. Решите уравнение:

1377. Приведите подобные слагаемые: x - 7 + 2х - 5х + 1.

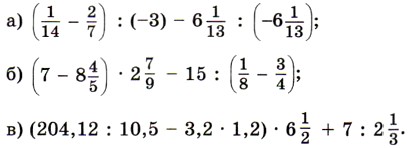
1378. Вычислите:

1379. Что больше:

1380. некоторого числа равны этого числа. Какое это число?

1381. До конца суток осталось того времени, которое прошло от начала суток. Который сейчас час?

1382. Из пятидесяти звеньев составлена цепь. Найдите длину этой цепи, если просвет каждого звена — 16 мм, а толщина — 4 мм (рис. 111).

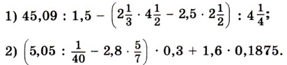
1383. Выполните действия:

1384. Перечертите рисунок 112 в тетрадь. Проведите через точку К прямую: а) параллельную прямой а; б) перпендикулярную прямой а.

1385. Начертите угол АВС, равный 75°. На стороне ВА отметьте точку М и проведите через неё две прямые, одна из которых параллельна, а другая перпендикулярна стороне ВС.

1386. В лаборатории стояли 25 столов с ящиками. В одних столах было по 3 ящика, а в других — по 4 ящика. Сколько было столов с тремя ящиками и сколько было столов с четырьмя ящиками, если общее число всех ящиков равно 91?

1387. По норме рабочий должен изготовить 72 детали, а он изготовил 90 деталей. На сколько процентов рабочий выполнил норму и на сколько процентов он перевыполнил норму?

1388. На земельного участка разбит сад, где сада занимают яблони. Какую площадь занимают яблони, если площадь земельного участка

1389. Найдите значение выражения:

<<< К началу      Решенния >>>

 

 

???????@Mail.ru