Главная >> Математика 6 класс с ГДЗ. Виленкин

§ 1. Делимость чисел

6. Наибольший общий делитель. Взаимно простые числа (окончание)

161. Найдите значение выражения:

    а) (3 • 3 • 5 • 11) : (3 • 11);
    б) (2 • 2 • 3 • 5 • 7) : (2 • 3 • 7);
    в) (2 • 3 • 7 • 13) : (3 • 7);
    г) (3 • 5 • 11 • 17 • 23) : (3 • 11 • 17).

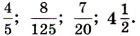
162. Сравните:

163. С помощью транспортира постройте ∠AOB = 35° и ∠DEF = 140°.

164. Решите задачу:

    1) Луч ОМ разделил развёрнутый угол АО В на два угла: АОМ и MOB. Угол АОМ в 3 раза больше угла MOB. Чему равны углы АОМ и ВОM? Постройте эти углы.
    2) Луч ОК разделил развёрнутый угол COD на два угла: СОК и KOD. Угол СОК в 4 раза меньше угла KOD. Чему равны углы СОК и KOD? Постройте эти углы.

165. Решите задачу:

    1) Рабочие отремонтировали дорогу длиной 820 м за три дня. Во вторник они отремонтировали этой дороги, а в среду оставшейся части. Сколько метров дороги отремонтировали рабочие в четверг?
    2) На ферме содержатся коровы, овцы и козы, всего 3400 животных. Овцы и козы вместе составляют всех животных, а козы составляют общего числа овец и коз. Сколько на ферме коров, сколько овец и сколько коз?

166. Представьте в виде обыкновенной дроби числа 0,3; 0,13; 0,2 и в виде десятичной дроби числа

167. Выполните действие, записав каждое число в виде десятичной дроби:

168. Вы умеете представлять числа в виде произведения простых чисел. Попробуйте представить в виде суммы простых слагаемых числа 10, 36, 54, 15, 27 и 49 так, чтобы слагаемых было возможно меньше. Какие предположения о представлении чисел в виде суммы простых слагаемых вы можете высказать?

169. Найдите наибольший общий делитель чисел а и b, если:

    а ) а = 3 • 3 • 5 • 5 • 5 • 7 , b = 3 • 5 • 5 • 11;
    б) а = 2 • 2 • 2 • 3 • 5 • 7, b = 3 • 11 • 13.

170. Найдите наибольший общий делитель чисел:

    а) 585 и 360;
    б) 680 и 612;
    в) 60, 80 и 48;
    г) 195, 156 и 260.

171. Докажите, что числа 864 и 875 взаимно простые.

172. Сравните:

173. Постройте угол АОС, равный 130°. Проведите внутри угла АОС луч ОВ так, чтобы ∠BOC = 40°. Измерьте угол АОВ.

174. В городе построен завод, на котором будут работать 840 рабочих следующих профессий: токари, слесари и фрезеровщики. При этом токарей будет втрое, а слесарей вдвое больше, чем фрезеровщиков. Сколько токарей нужно для завода?

175. В инкубатор заложили 1200 яиц. Из всех яиц вылупились цыплята. При этом оказалось, что петушки составляют всех вылупившихся цыплят. Сколько петушков и сколько курочек вылупилось из яиц?

176. Представьте в виде обыкновенной дроби числа: 0,5; 0,16; 0,25.

177. Представьте в виде десятичной дроби числа:

178. Найдите значение выражения:

    а) 1,53 • 54 - 0,42 • (512 - 491,2) + 1,116;
    б) ((27,12 + 43,08) • 0,007 - 0,0314) • 100.

<<< К началу      Решенния >>>

 

 

???????@Mail.ru