Главная >> Математика 6 класс. Виленкин

§ 2. Сложение и вычитание дробей с разными знаменателями

12. Сложение и вычитание смешанных чисел (окончание)

407. Докажите переместительное и сочетательное свойства сложения для дробей с одинаковыми знаменателями на основе таких же свойств для натуральных чисел.

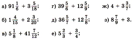
408. Выполните действие:

409. Три сына хана получили в наследство большую отару овец. Старшему сыну достались 25 частей стада, среднему — 10 частей, а младшему — 1 часть. Сколько овец было в отаре, если средний брат получил на 765 овец больше, чем младший?

410. В городе семизначные телефонные номера. Сколько в нём может быть номеров, начинающихся цифрами 235?

411. Выполните вычисления с помощью микрокалькулятора и результат округлите до тысячных:

3,281 • 0,57 + 4,356 • 0,278 - 13,758 : 6,83.

412. Решите задачу:

1) Для борьбы с вредителями садов готовится известково-серный отвар, состоящий из 6 частей серы, 3 частей негашёной извести и 50 частей воды (по массе). Сколько получится килограммов отвара, если воды взять на 8,8 кг больше, чем серы?
2) Для приготовления фарфора на 1 часть гипса берут 2 части песка и 25 частей глины (по массе). Сколько получится килограммов фарфора, если взять глины на 6,9 кг больше, чем песка?

413. Выполните действия:

1) 7225 : 85 + 64 • 2345 - 248 838 : 619;
2) 54 • 3465 - 9025 : 95 + 360 272 : 712.

414. Выполните действие:

415. Найдите значение разности:

416. Решите уравнение:

417. Найдите значение выражения:

418. Один тракторист вспахал поля, а другой — того же поля. Какую часть поля осталось вспахать?

419. Бочки горючего хватает для работы одного двигателя на 7 ч, а другого — на 5 ч. Какая часть горючего останется от полной бочки после 2 ч работы первого двигателя и 3 ч работы второго двигателя?

420. Для экспедиции, работающей в тайге, сбросили с вертолёта упаковку с продуктами, которая упала на землю через 3 с. С какой высоты была сброшена эта упаковка, если в первую секунду она пролетела м, а в каждую следующую секунду она пролетала на м больше, чем в предыдущую?

421. Сколько времени пошло на изготовление детали, если её обрабатывали на токарном станке ч, на фрезерном станке ч и на сверлильном станке ч?

422. Найдите значение выражения:

423. Из двух сёл одновременно навстречу друг другу вышли два пешехода и встретились через 1,5 ч. Расстояние между сёлами 12,3 км. Скорость одного пешехода 4,4 км/ч. Найдите скорость другого пешехода.

424. Для приготовления варенья из вишни на 3 части сахара берут 2 части ягод (по массе). Сколько килограммов сахара и сколько килограммов ягод надо взять, чтобы получить 10 кг варенья, если при варке его масса уменьшается в 1,5 раза?

425. Найдите значение выражения:

а) (44,96 + 28,84 : (13,7 - 10,9)) : 1,8;      б) 102,816 : (3,2 • 6,3) + 3,84.

426. Решите уравнение:

а) (х - 4,7) • 7,3 = 38,69;        в) 23,5 - (2,3а + 1,2а) = 19,3;
б) (3,6 - а) • 5,8 = 14,5;      г) 12,98 - (3,8x - 1,3x) = 11,23.

<<< К началу

 

 

???????@Mail.ru