Главная >> Математика 6 класс. Виленкин

§ 2. Сложение и вычитание дробей с разными знаменателями

12. Сложение и вычитание смешанных чисел

Переместительное и сочетательное свойства сложения позволяют привести сложение смешанных чисел к сложению их целых частей и к сложению их дробных частей.

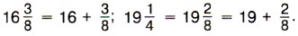
Пример 1. Найдём значение суммы

Р е ш е н и е. Приведём дробные части чисел к наименьшему общему знаменателю 8, затем представим смешанные числа в виде суммы их целой и дробной частей:

Значит,

Пишут короче:

Пример 2. Найдём значение суммы

Р е ш е н и е. Сначала приводим дробные части данных чисел к наименьшему общему знаменателю 12, затем отдельно складываем целые и дробные части:

  • Чтобы сложить смешанные числа, надо: 1) привести дробные части этих чисел к наименьшему общему знаменателю; 2) отдельно выполнить сложение целых частей и отдельно дробных частей. Если при сложении дробных частей получилась неправильная дробь, выделить целую часть из этой дроби и прибавить её к полученной целой части.

При вычитании смешанных чисел пользуются свойствами вычитания суммы из числа и вычитания числа из суммы.

Пример 3. Найдём значение разности

Р е ш е н и е. Приведём дробные части к наименьшему общему знаменателю 18 и представим данные числа в виде суммы целой и дробной частей:

По свойству вычитания суммы из числа имеем:

Пишут короче:

Если дробная часть уменьшаемого окажется меньше дробной части вычитаемого, то надо превратить в дробь с тем же знаменателем одну единицу целой части уменьшаемого.

Пример 4. Найдём значение разности

Р е ш е н и е. Приведём дробные части данных чисел к наименьшему общему знаменателю 18:

Так как дробная часть уменьшаемого меньше дробной части вычитаемого, то уменьшаемое записываем так:

Значит,

Обычно пишут короче:

  • Чтобы выполнить вычитание смешанных чисел, надо: 1) привести дробные части этих чисел к наименьшему общему знаменателю; если дробная часть уменьшаемого меньше дробной части вычитаемого, превратить её в неправильную дробь, уменьшив на единицу целую часть; 2) отдельно выполнить вычитание целых частей и отдельно дробных частей.

Расскажите, как сложить смешанные числа и на каких свойствах сложения основано сложение смешанных чисел.
Расскажите, как выполнить вычитание смешанных чисел и на каких свойствах основано правило вычитания смешанных чисел.


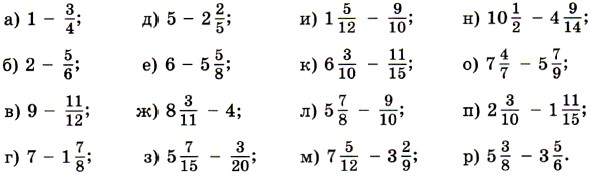
376. Выполните сложение:

377. Выполните вычитание:

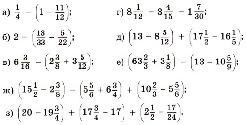
378. Найдите значение выражения:

Продолжение >>>

 

 

???????@Mail.ru