Главная >> Математика 6 класс. Виленкин

§ 3. Умножение и деление обыкновенных дробей

16. Взаимно обратные числа

Если умножить то получится 1:

Точно так же 1 получится при умножении 7 на и т. д.

  • Два числа, произведение которых равно 1, называют взаимно обратными.

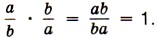
Значит, взаимно обратными будут числа Числу где обратно число

В самом деле,

Пример 1. Найдём число, обратное числу

Р е ш е н и е . Запишем число в виде неправильной дроби:

Значит, обратным будет число

Пример 2. Найдём значение произведения

Р е ш е н и е .

Значит, если число х сначала умножить на некоторое число a, а потом умножить на число, обратное а, то получим опять х.


Какие числа называют взаимно обратными?
Как записать число, обратное дроби
Как записать число, обратное натуральному числу?
Как записать число, обратное смешанному числу?


577. Будут ли взаимно обратными числа:

578. Найдите число, обратное числу:

579. Найдите значение выражения:

580. Решите уравнение:

581. Вычислите устно:

582. Представьте в виде неправильной дроби:

583. Найдите наименьшее и наибольшее значения выражения если

Окончание >>>

 

 

???????@Mail.ru