Главная >> Математика 6 класс. Виленкин

§ 3. Умножение и деление обыкновенных дробей

17. Деление

Задача. Площадь прямоугольника — Длина одной стороны Найдём длину другой стороны.

Р е ш е н и е. Обозначим длину другой стороны через х м. По формуле площади прямоугольника должно выполняться равенство Умножим обе части равенства на число обратное числу Так как произведение равно 1, то получим, что Таким образом, длина другой стороны прямоугольника равна

В этой задаче мы нашли неизвестный множитель в произведении По смыслу деления это число равно частному от деления числа на число Видим, что это частное равно произведению делимого и числа, обратного делителю, т. е.

  • Чтобы разделить одну дробь на другую, надо делимое умножить на число, обратное делителю.

Пример 1. Разделим

Р е ш е н и е. Представим сначала числа в виде неправильных дробей:

Поэтому:

Пример 2. Разделим на 6.

Р е ш е н и е. Числом, обратным делителю, является так как

Значит,


Сформулируйте правило деления дробей.
Как выполняется деление смешанных чисел?


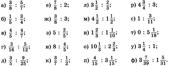
596. Выполните деление:

597. Представьте в виде дроби частное:

598. Найдите по формуле площади прямоугольника S = ab значение:

599. С какой скоростью должен передвигаться трактор, чтобы пройти 15 км за

600. Масса дм3 сосны равна кг. Какова масса 1 дм3 сосны? Каков объём соснового бруска массой 1 кг?

601. Сумма двух чисел равна Одно из них в раза больше другого. Найдите эти числа.

602. Если задуманное число умножить на и к произведению прибавить то получится Найдите задуманное число.

603. Площадь прямоугольника Найдите периметр прямоугольника, если его ширина

604. Длина и ширина прямоугольника соответственно равны и Найдите ширину другого прямоугольника, длина которого а площадь равна площади первого прямоугольника.

605. Представьте делимое в виде обыкновенной дроби и выполните действие:

606. Представьте делимое в виде десятичной дроби и выполните действие:

Продолжение >>>

 

 

???????@Mail.ru