Главная >> Математика 6 класс. Виленкин

23. Масштаб

Масштаб. Ответы

820. Пусть на карте расстояние равно 3 см. 3 : x = 1:100000; x = 300000 см; х = з км.

821. 8,5 : x = 1: 1000000; x = 8500000 cм; x=85 kм.

822. x : 6500000 = 1:10000000; x=6,5 см.

823. x : 1000000000= 1:10000000; x=100 см.

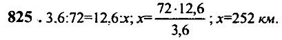
828. 1 : 5 = 7,2 : x; x = 5 • 7,2; x = 36; длина детали 36 см; 1 : 3 = x : 36; х = 12; длинa детали на втором чертеже 12 см; 2 : 1 = х : 36; x = 2 • 36; х = 72; длина детали на третьем чертеже 72 см.

829. а) 50;     б) 8;     в) 10;     г) 4,3;     д) 2.

830. (31 - x) • 9=(47 - x) • 5; 279-9x = 234 - 5х; 4x = 44; x =11.

831. а) 18 : 54 = 2 : 6; 54 : 18 = 6 : 2; 6 : 54 = 2 : 18;
б) 1,5 : 4,5 = 0,42 : 1,26;    1,5 : 0,42 = 4,5 : 1,26;    1,26 : 4,5 = 0.42 : 1,5;
в) 2,8 : 6,3 = 20 : 45;    2,8 : 20 = 6,3 : 45;    45 : 20 = 6,3 : 2,8:
г) 3,9 : 0.6 = 0.91 : 0,14;    3,9 : 0,91 = 0.6 : 0,14;    0,6 : 3,9 = 0.14 : 0,91.

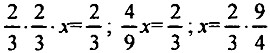
832. Пусть x неизвестное число. Две трети от двух третей неизвестного числа равны двум третьим. Составим уравнение: х = 1,5. Ответ: число равно 1,5.

834. Площадь основания равна: объем пирамнды равен:

<<< К началу      Ответы >>>

 

 

???????@Mail.ru