Главная >> Математика 6 класс. Виленкин

§ 4. Отношения и пропорции

25. Шар

Шар

Футбольный мяч, глобус, арбуз дают нам представление о шаре. Все точки поверхности шара одинаково удалены от центра шара. Отрезок, соединяющий точку поверхности шара с центром, называют радиусом шара. Отрезок, соединяющий две точки поверхности шара и проходящий через центр шара, называют диаметром шара. Диаметр шара равен двум радиусам. Поверхность шара называют сферой.


Что называется радиусом шара? диаметром шара?
Что такое сфера?


874. Диаметр земного шара приближённо равен 12,7 тыс. км. Скольким тысячам километров равен радиус и длина экватора Земли? (Число тысяч округлите до десятых.)

875. Один из самых больших глобусов Земли был изготовлен в 1889 г. для Парижской всемирной выставки. Его диаметр был 12,7 м. В каком масштабе этот глобус изображал Землю? Какова длина экватора и меридианов на этом глобусе?

876. Площадь поверхности Луны приближённо равна 38 млн км2, что составляет 0,075 площади поверхности Земли. Найдите площадь поверхности Земли. (Результат округлите до миллионов квадратных километров.)

877. Диаметр планеты Меркурий приближённо равен 5 тыс. км. Диаметр планеты Венера в 2,48 раз больше, а диаметр планеты Марс составляет диаметра Венеры. Найдите диаметры планет Венера и Марс.

878. Вычислите устно:

879. Масштаб плана 1 : 1000. На плане изображён круглый бассейн. Определите диаметр бассейна и его площадь, если на плане радиус бассейна 1 см.

880. Заполните таблицу:

881. Цифры 1, 2, 3, 4, 5, 6, 7, 8, 9 расставьте в клетки так, чтобы равенства были верными:

882. Длина окружности 1,2 м. Чему равна длина другой окружности, у которой диаметр в 2 раза больше диаметра первой окружности?

883. Найдите площадь круга, у которого радиус 8 см. Найдите площадь второго крута, у которого радиус составляет радиуса первого круга.

884. Решите задачу:

1) В двух строительных бригадах 88 человек. В первой бригаде в раза меньше людей, чем во второй. Сколько человек в каждой бригаде?
2) На двух животноводческих фермах работают 26 человек. На первой ферме работают в раза больше людей, чем на второй. Сколько человек работают на каждой ферме?

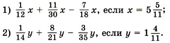
885. Найдите значение выражения:

Окончание >>>

 

 

???????@Mail.ru