Главная >> Математика 6 класс. Виленкин

§5. Положительные и отрицательные числа

26. Координаты на прямой (окончание)

913. Вычислите устно:

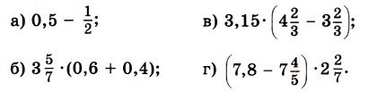
914. Найдите значение выражения:

915. Из цифр 7, 8, 3 и 5 составьте четыре различных числа, оканчивающиеся цифрой 7 и кратные 3.

916. На рисунке 59, а изображён цилиндр. Сверху и снизу цилиндр ограничен кругами, которые называются основаниями цилиндра. Развёртка боковой поверхности цилиндра — прямоугольник. На рисунке 59,6 изображена развёртка поверхности цилиндра. Попробуйте вычислить площадь поверхности цилиндра, если его высота 5 см, а радиус оснований 2 см.

917. Решите задачу:

1) На автомобиль погрузили 6 ящиков, 4 коробки и контейнер массой 0,13 т. Масса всего груза 0,73 т, массы ящика и коробки одинаковы. Какова масса одного ящика или одной коробки?

2) На катер погрузили 7 бочонков, б ящиков с рыбой и бочку горючего массой 0,35 т. Масса всего груза 0,61 т. Массы бочонка и ящика одинаковы. Какова масса одного бочонка или одного ящика?

3) Для работников завода построен дом на 240 квартир. Трёхкомнатные квартиры составляют 15% всех квартир и числа однокомнатных квартир. Остальные квартиры двухкомнатные. Сколько в доме двухкомнатных квартир?

4) На лодочной станции было 150 лодок. Трёхместные лодки составляли 14% всех лодок и числа пятиместных лодок. Остальные лодки были четырёхместные. Сколько четырёхместных лодок было на станции?

918. Где по отношению к узлу верёвки находится каждая птица (рис. 60)? (Сторона клетки 1 дм.)

919. Начертите в тетради горизонтальную прямую и отметьте на ней точку О. Отметьте на этой прямой точки М, N, Р и К, если:

а) М правее О на 14 клеток; б) N левее О на 15 клеток; в) Р левее О на 9 клеток; г) К правее О на 2 клетки.

Напишите координаты точек М, N, Р и К, если единичный отрезок равен:

а) длине одной клетки тетради; б) длине двух клеток тетради.

920. Отметьте на координатной прямой точки М(-4), N(3), Р(-8,5), К(7,5), С(-6), Т(6).

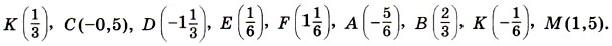
921. Приняв за единичный отрезок длину 6 клеток тетради, начертите координатную прямую и отметьте на ней точки

922. Начертите шкалу температур от -60 °С до 60 °С, приняв отрезок длиной 1 см за 10 °С. Отметьте на этой шкале точку замерзания ртути (-39°С), нормальную температуру человеческого тела (37°С), точку замерзания бензина (-60 °С), точку кипения ацетона (56 °С), точку замерзания глицерина (-20 °С).

923. Через реку построен мост длиной 234 м. Он состоит из пяти пролётов, четыре из которых имеют одинаковую длину, а пятый на 14 м длиннее каждого из остальных. Какова длина каждого пролёта моста?

924. Экскурсантов можно посадить в лодки или по 4 человека, или по 6 человек. В том и другом случае свободных мест не останется. Сколько было экскурсантов, если их больше 40, но меньше 50?

925. За три дня заготовители собрали 560 кг семян различных деревьев. В первый день они собрали 35% всех собранных семян, что составляло количества семян, собранных во второй день. Сколько килограммов семян было собрано в третий день?

<<< К началу      Окончание >>>

 

 

???????@Mail.ru