Главная >> Математика 6 класс. Виленкин

26. Координаты на прямой

Координаты на прямой: Ответы (окончание)

909. а) Семь чисел: 1 , 2, 3, 4, 5, 6, 7; б) восемь чисел: 18, 19, 20, 21,22,23, 24, 25;
в) семь чисел: 3, 4, 5, 6, 7, 8, 9; г) ни одного.

910. Ближе к единице находится правильная дробь.

911. Раньше всех родился Пифагор. Аристотель прожил: 384 - 322 = 62 года (даты до н.э.); Пифагор прожил: 570 - 500 = 70 лет (даты до н.э.); Плутарх прожил: 127 - 46 = 81 год.

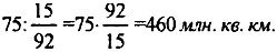
912. Площадь поверхности Венеры равна:

913. а) 0; б) ; в) 3,15; г) 0.

Ответ 914

915.     357; 387; 537; 837.

Ответ 916

Ответ 917

918. Одна птица находится слева от узла на расстоянии 3 дм, две другие птицы находятся справа от узла на расстоянии 2 дм и 5 дм.

Ответ 919

Ответ 920

Ответ 921

Ответ 922

923. Пусть х м длина маленьких пролетов моста, тогда х + 14 м - длина большого пролета моста. Длина моста, т.е. сумма длин всех пролетов, равна 234 м. Составим уравнение: 4х + х + 14 = 234; 5х = 220; х = 44; х + 14 = 58. Ответ: длина маленьких пролетов 44 м, длина большого пролета 58 м.

924. Число экскурсантов делится на 4 и 6, значит, оно делится и на 24. Среди чисел, больших 40 и меньших 50, такое число одно: 48. Экскурсантов было 48 человек.

925. В первый день пионеры собрали семян: 560 • 0,35 = 196 кг: во второй день собрали: ; в третий день собрали: 5б0 - 19б - 224 = 140 кг семян

<<< К началу

 

 

???????@Mail.ru