Главная >> Математика 6 класс. Виленкин

§ 5. Положительные и отрицательные числа

26. Координаты на прямой

Точка О на прямой АВ (рис. 48) разбивает эту прямую на два дополнительных луча — ОА и ОВ. Выберем единичный отрезок и примем точку О за начало отсчёта. Тогда положение точки на каждом из лучей задаётся её координатой. Чтобы отличить друг от друга координаты на этих лучах, условились ставить перед координатами на одном луче знак «+», а перед координатами на другом луче знак «-».

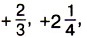
Числа со знаком «+» называют положительными. Пишут: +1, +5, +3,6 — и читают: «Плюс один», «Плюс пять», «Плюс две третьих», «Плюс две целых одна четвёртая», «Плюс три целых шесть десятых» (рис. 49).

Рис. 49

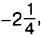
Числа со знаком «-» называют отрицательными. Пишут: -1, -3,6 — и читают: «Минус один», «Минус пять», «Минус две третьих», «Минус две целых одна четвёртая», «Минус три целых шесть десятых» (рис. 49).

Для краткости записи обычно опускают знак «+» перед положительными числами и вместо +7 пишут 7. Поэтому +7 = 7, +6,3 = 6,3, т. е. +7 и 7 — это одно и то же число, только по-разному обозначенное.

Начало отсчёта (или начало координат) — точка О изображает 0 (нуль).

Само число 0 не является ни положительным, ни отрицательным. Оно отделяет положительные числа от отрицательных.

Прямые могут находиться в различных положениях. Поэтому дополнительные лучи могут идти не только влево и вправо, но, например, вверх и вниз. Если прямая расположена горизонтально, то обычно положительными считают координаты точек, расположенных справа от точки О, а отрицательными — координаты точек, расположенных слева от точки О (см. рис. 49). Если прямая расположена вертикально, то положительными считают координаты точек, находящихся выше точки О, а отрицательными — координаты точек, находящихся ниже точки О (рис. 50). Положительное направление отмечают стрелкой.

  • Прямую с выбранными на ней началом отсчёта, единичным отрезком и направлением называют координатной прямой.
  • Число, показывающее положение точки на прямой, называют координатой этой точки.

Точка A на рисунках 49 и 50 имеет координату точка В — координату -3,6, а точка С — координату 3,6.

Пишут:

С координатной прямой мы встречаемся на уроках истории («линия времени»). Шкалу с положительными и отрицательными числами и нулём имеют термометры. Начало отсчёта соответствует температуре таяния льда 0°С. При 100°С закипает вода.


Что такое координатная прямая?
Что называют координатой точки на прямой?
Какими числами являются координаты точек на горизонтальной прямой, расположенных: а) справа от начала координат; б) слева от начала координат? Какую координату имеет начало координат?
Какими числами обозначают координаты точек на вертикальной прямой, расположенных: а) выше начала координат; б) ниже начала координат?


891. Белка вылезла из дупла и бегает по стволу дерева вверх и вниз (рис. 51). Покажите, где будет находиться белка, если она удалится от дупла на 3 м. Сколько ответов можно дать на этот вопрос? Покажите на рисунке, где окажется белка, если она будет находиться: а) выше дупла на 2 м; б) ниже дупла на 3 м; в) ниже дупла на 1,5 м; г) выше дупла на 2,5 м.

892. Поезд вышел со станции Петропавловск (рис. 52) и идёт со скоростью 90 км/ч. В какой город придёт поезд через 3 ч? Где будет находиться поезд: а) через 10 ч, если он идёт в Новосибирск; б) через 5 ч, если он идёт в Челябинск?

Продолжение >>>

 

 

???????@Mail.ru