Главная >> Математика 6 класс. Виленкин

27. Противоположные числа

Противоположные числа: Ответы

Ответ 927

Ответ 928

929. А(1);    В(-5);    С(-1.5).

930. а) Положительное; б) нуль; в) отрицательное.

Ответ 931

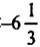
932. a)x = -607; б).a = -30,4; в)

933. а) -7; -6; б) -2; -1;      в) -1; 0; 1;      г) -3; -2; -1; 0; 1; 2; 3; 4;
д) 0; 1; 2; е) 3; 4; 5;      ж) -7; -6; -5;      з)-10;-9;-8;-7;-6;-5;-4.

935. 2<2,6<3; -4<-3<-2; -1<0<1; -7< < -6;

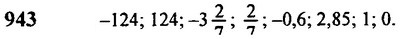
936. а)-15;-3; б)-6; 14; в)-14; 6; г)-100; 100

939. Пары взаимно обратных чисел:

941. 1) В первую неделю завод изготовил тыс. шт. кирпича; во вторую неделю: 120 +120 • 0,1 = 132 тыс. шт. кирпича; осталось изготовить: 270 - 120 - 132 = 18 тыс. шт. кирпича.

2) В первый день комбайнеры обмолотили т зерна; во второй 140 • (1 - 0,1) = 126 т: в третий день: 434 -140 -126 = 168 т.

944. Натуральные числа: 1, 2, 3, 4; противоположные им числа: -1,-2-3,-4.

946. Пусть в первый день было выдано х кг проволоки, тогда во второй день было выдано 2•х кг, в третий 3•х кг. В первый день было выдано проволоки на 30 кг меньше, чем в третий день. Составим уравнение: 3x —x = 30; 2х = 30; х = 15; 2x = 30; 3x = 45; затри дня было выдано: 15 + 30 + 45 = 90 кг проволоки.

947. Пшеница нового сорта дает с одного гектара: 60,8 + 60,8 • 0,25 = 76 ц с 23 га поливного поля колхоз теперь собирает: 76 • 23 = 1748 ц пшеницы.

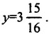
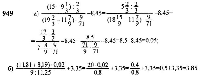
948. а) 7,3x - 4,3 - 2,8.х = 9,2; 4,5x - 4,3 = 9,2; 4,5х = 13,5; x = 3;
б) 6,2y + 2,9 - 3,4у = 8,5; 2,8у + 2,9=8,5; 2,8у = 5,б; у = 2.

<<< К началу

 

 

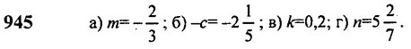
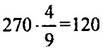
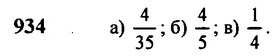
???????@Mail.ru