Главная >> Математика 6 класс. Виленкин

28. Модуль числа

Модуль числа. Ответы

950. |81| = 81; |1,3| = 1,3; |-5,2| = 5,2; |-52| =52; |0| = 0.

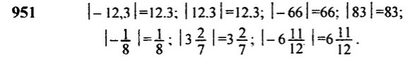
Ответ 951

952. ОA = 3,7; OВ = 7,8; OC = 200; OD = 315,6; ОE = 0;

Ответ 953

954. А(-5,8); B(9,8); |-5,8| = 5,8; |9,8| =9,8.

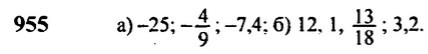
Ответ 955

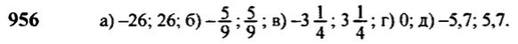
Ответ956

957. Если |а| = 7, то а = 7 или а = -7; при a = -7 |- а| = |-7| =|7|; при а = -7 |-а| = |-(-7)| = |7| = 7.

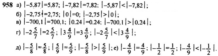
Ответ 958

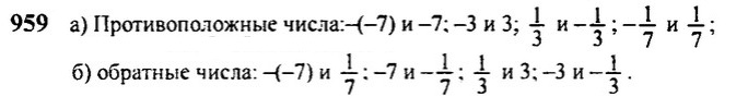
Ответ 959

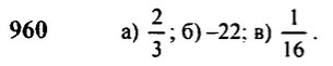
Ответ 960

961. -1 правее-2; -6 правее-7; 0 правее-4,2; -11 правее-15.

Ответ 962

Ответ 963

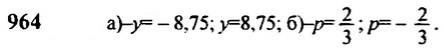
Ответ 964

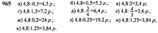
Ответ 965

Ответ 966

Ответ 967

Ответ 968

969. Площадь второго поля:

970. 75% = 0,75. Результат Сергеева 73,2 : 0,75 = 97,6 с. Т.к. 73,2 с < 97,6 с, то Иванов преодолел дистанцию быстрее.

971. Обозначим через х км/ч скорость легковой автомашины, тогда скорость грузовика равна км/ч. Скорось грузовика меньше скорости легковой автомашины на 22 км/ч. Составим уравнение:

972. Урожайность хлопка на первом поле: 28 - 28 • 0,125 = 28 • (1 - 0,125) = 28 • 0,875 = 24,5 ц с одного гектара.

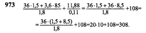
Ответ 973

<<< К началу

 

 

???????@Mail.ru