Главная >> Математика 6 класс. Виленкин

§ 6. Сложение и вычитание положительных и отрицательных чисел

34. Вычитание (продолжение)

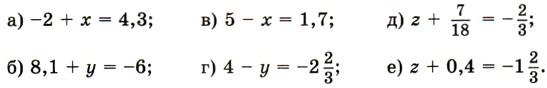
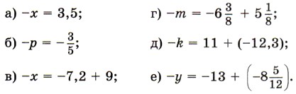
1092. Решите уравнение и выполните проверку:

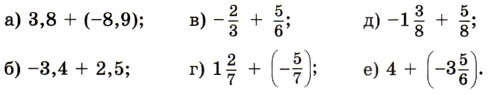
1093. Представьте в виде суммы разность:

1094. Назовите каждое слагаемое в сумме:

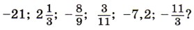
1095. Составьте сумму из следующих слагаемых:

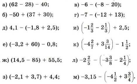
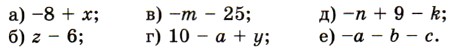
1096. Найдите значение выражения:

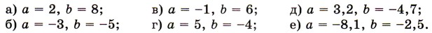
1097. Найдите расстояние между точками А(а) и В(b), если:

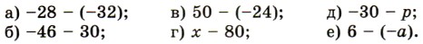
1098. Выполните сложение:

1099. Найдите значение выражения:

1100. Найдите число, противоположное:

1101. Решите уравнение:

1102. Между какими соседними целыми числами расположено число:

1103. Запишите все целые числа, модули которых:а) меньше 4; б) больше 4 и меньше 10.

1104. Может ли сумма двух чисел быть меньше: а) одного из слагаемых; б) каждого из слагаемых? Приведите примеры.

1105. Высота конуса 24 см, а площадь основания 15 см2. Какой высоты должен быть цилиндр с такой же площадью основания, чтобы его объём был равен объёму конуса (рис. 88)? Нет ли в задаче лишних данных?

1106. На пришкольном участке было собрано 360 кг овощей. Картофеля было собрано в 5 раз больше, чем свёклы, а капусты — на 80 кг больше, чем свёклы. Сколько килограммов каждой культуры было собрано?

<<< К началу      Окончание >>>

 

 

???????@Mail.ru