Главная >> Математика 6 класс. Виленкин

§ 7. Умножение и деление положительных и отрицательных чисел

35. Умножение (продолжение)

1120. Турист движется по шоссе со скоростью км/ч. Сейчас он находится в точке 0 (рис. 89). Если он движется в положительном направлении, то его скорость считают положительной, а в отрицательном направлении — отрицательной. Значение t — — 4 означает «4 ч назад».

Где будет находиться турист через t ч? Решите задачу при следующих значениях букв:

1121. Выполните умножение:

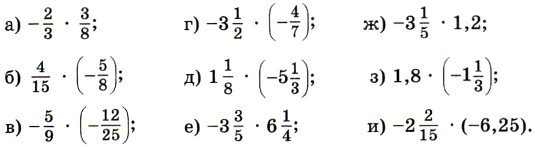
1123. Найдите значение произведения:

1124. Поставьте вместо * знак < или > так, чтобы получилось верное равенство:

1125. Выполните умножение и сделайте вывод:

1126. Запишите в виде произведения сумму:

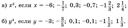
1127. Найдите значение выражения:

1128. Догадайтесь, чему равен корень уравнения, и выполните проверку:

а) -8 • х = 72;     б) -4 • х = -40;     в) 6 • у = -54;     г) -6 • у = 66.

1129. Найдите значение выражения:

    а) 3 • (-2) + (-3) • (-4) - (-5) • 7;
    б) (-18 + 23 - 16 + 9) • (-18);
    в) (-4,5 + 3,8) • (2,01 - 3,81);
    г) (2,8 - 3,9) • (-4,3 - 2,6);
    д) -4,5 • 0,1 + (-3,7) • (-2,1) - (-5,4) • (-0,2);
    е) (2,3 • (-1,8) - 1,4 • (-0,8)) • (-1,5);
    ж) -3,8 • (-1,5) - (-1,2) • 0,5 - 6,5;
    з) -2,321 • (-3,2 + 2,3 - 4,8 + 6,7) - 1,579.

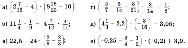
1130. Выполните действия:

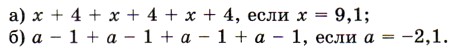
1131. Найдите значение:

<<< К началу      Окончание >>>

 

 

???????@Mail.ru