Главная >> Математика 6 класс. Виленкин

§ 7. Умножение и деление положительных и отрицательных чисел

38. Свойства действий с рациональными числами (продолжение)

1208. Сформулируйте словами сочетательное свойство умножения а(bс) = (ab)c и проверьте его:

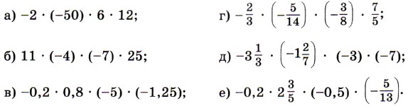
1209. Выбирая удобный порядок вычислений, найдите значение выражения:

1210. Какое получится число (положительное или отрицательное), если перемножить:

    а) одно отрицательное и два положительных числа;
    б) два отрицательных и одно положительное число;
    в) 7 отрицательных и несколько положительных чисел;
    г) 20 отрицательных и несколько положительных?
    Сделайте вывод.

1211. Определите знак произведения:

а) -2 • (-3) • (-9) • (-1,3) • 14 • (-2,7) • (-2,9);
б) 4 • (-11) • (-12) • (-13) • (-15) • (-17) • 80 • 90.

1212. Решите уравнение, использовав свойство произведения, равного нулю:

1213. Сформулируйте словами распределительное свойство умножения (а + b) • с = ас + bс и проверьте его:

1214. Выбирая удобный порядок вычислений, найдите значение выражения:

1215. Вычислите устно:

1216. Найдите сумму всех целых чисел:

а) от -6 до 7;      б) от -18 до 17;     в) от -22 до 20.

1217. Решите уравнение:

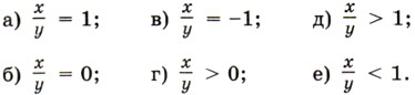
1218. Придумайте такие значения х и у, при которых верно соотношение:

1219. Найдите наибольшее значение выражения:

а) -|x|;      б) 2 - |х|;      в) -|х - 1|;      г) -(х - 1)2.

1220. Решать некоторые математические задачи помогают специальные схемы, состоящие из точек и соединяющих их дуг или стрелок рис. 91). Такие схемы называют графами, точки называют вершйнами графа, а дуги — рёбрами графа. Ответьте на вопросы, используя графы.

а) В спортивном зале собрались Витя, Коля, Петя, Серёжа и Максим (рис. 91, а). Оказалось, что каждый из мальчиков знаком только с двумя другими. Кто с кем знаком? (Ребро графа означает «мы знакомы».)

б) Во дворе гуляют братья и сёстры одной семьи. Кто из этих детей мальчики, а кто девочки (рис. 91,б)? (Пунктирные рёбра графа исходят от сестёр, а сплошные — от братьев.)

1221. Вычислите:

<<< К началу      Окончание >>>

 

 

???????@Mail.ru