Главная >> Математика 6 класс. Виленкин

§2. Сложение и вычитание дробей с разными знаменателями

9. Сокращение дробей (продолжение)

248. Какую часть килограмма составляют 125 г, 250 г, 750 г?

249. Выполните действие:

250. Один рабочий изготовил 16 одинаковых деталей за 6 ч, а другой — 24 такие же детали за 15 ч. Какой из них тратил на изготовление одной детали больше времени и на сколько?

251. Из 20 м ткани сшили 8 одинаковых платьев для взрослых, а из 12 м сшили 8 детских платьев. Сколько метров ткани пошло на одно детское платье и сколько — на одно платье для взрослых?

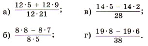
252. Применив распределительный закон, представьте числитель дроби в виде произведения, а затем сократите:

Вычислите устно:

254. Найдите пропущенные числа:

255. Найдите среди чисел 1, 3, 10, 12, 13, 15, 16, 39 пары взаимно простых чисел.

256. Найдите равные среди чисел:

257. При каких натуральных значениях букв равны дроби:

260. Разделите числитель и знаменатель дроби:

261. Умножьте числитель и знаменатель дроби:

<<< К началу      Окончание >>>

 

 

???????@Mail.ru