Главная >> Психодиагностика. Немов

Методы психодиагностики подростков и юношей

Методы изучения межличностных отношений

Таких методов, с помощью которых в психологии изучаются человеческие взаимоотношения, довольно много, и рассмотреть их все в учебной книге не представляется возможным. Однако из таких методов все же можно отобрать несколько достаточно валидных и надежных — таких, которые дают разностороннюю и ценную информацию о положении данного человека в системе межличностных отношений в малой группе. Часть таких методов характеризует персональное отношение данного человека к другим людям, иные — положение данного человека в системе сложившихся, внутригрупповых отношений, третьи — психологию той социальной группы, в которую входит данный индивид и в систему межличностных отношений которой он включен. Из таких методов для презентации в данной главе мы выбрали по одному-два и считаем их достаточными для общей характеристики положения человека в системе межличностных отношений тех самых групп, участником которых он является.

Методика «Семантический дифференциал»1

    1 Данные по этой методике не входят в Карту индивидуального психологического развития подростка и старшего школьника, поэтому сама методика в тексте не имеет отдельного номера.

При помощи данной методики определяется эмоциональноличностное отношение человека к некоторому другому человеку, являющемуся членом той же самой социальной группы, в которую входит испытуемый.

Инструкция-задание к методике:

«Выберите двух людей из вашей социальной группы, которых вы хорошо знаете и к которым вы испытываете различное, положительное и отрицательное отношение. Последовательно оцените их обоих с помощью следующих нескольких противоположных пар эмоционально-оценочных прилагательных, выбрав в каждой из пар место, занимаемое данным человеком, и отметив крестиком свое эмоциональное отношение к нему. Если ваше отношение к данному человеку положительное, то крестик ставится справа от средней, нулевой линии; если ваше отношение к нему отрицательное, то крестик проставляется слева от нее. В том и в другом случае сила отношения выражается, соответственно, выбором нужного положительного или отрицательного балла от 0 (самое слабое эмоциональное отношение) до 3 (самое сильное эмоциональное отношение)». Пары противоположных эмоционально-оценочных прилагательных представлены ниже.

Пары противоположных эмоционально-оценочных

Оценка результатов

Оценки, данные по каждой шкале (паре противоположных эмоционально-оценочных прилагательных), переводятся в баллы в соответствии со шкалой, представленной в верхней части рисунка. Если отметка испытуемого располагается между двумя пунктами шкалы, то берется промежуточное, дробное число баллов. Далее вычисляется средняя оценка по всем десяти шкалам семантического дифференциала. Она и является количественной характеристикой общего эмоционального отношения испытуемого к тому человеку, к которому относятся полученные оценки. Отношение считается положительным, если средняя оценка также положительная; отношение рассматривается как отрицательное, если соответствующая средняя оценка отрицательная. Сила эмоционального отношения, соответственно, отражается в абсолютной величине полученной средней оценки.

Методика 23. Социометрическая методика

Эта методика позволяет определить положение испытуемого в системе межличностных отношений той группы, к которой он принадлежит. Исследование группы при помощи данной методики обычно проводится тогда, когда группа включает в себя не менее 10 человек и существует не менее одного года.

Перед началом исследования члены группы, собравшиеся в каком-либо помещении, например, в классе или в аудитории, получают инструкцию примерно следующего содержания:

«Ваша группа (класс) существует уже давно. За время совместной жизни и общения друг с другом вы, наверное, смогли неплохо узнать друг друга, и между вами сложились определенные личные и деловые отношения, симпатии и антипатии, уважение, неуважение друг к другу и т.п. Не все, очевидно, складывалось гладко и образовавшиеся между вами отношения далеки, по-видимому, от идеала. С кем-то вам хорошо находиться в одной группе (классе), кто-то вас не очень устраивает и с ним вы хотели бы расстаться. Теперь представьте себе, что ваша группа начинает складываться сначала и каждому из вас представляется возможность вновь по своему желанию определить состав группы (класса). Ответьте в этой связи на следующие вопросы, записав свои ответы на отдельном листе бумаги. Его предварительно необходимо подписать, чтобы мы могли судить о том, кто и кого выбирает или отвергает.

    1. Кого из членов вашей группы (класса) вы по своему желанию включили бы в состав новой группы (класса)? Запишите этих людей на листе бумаги под номером 1 в порядке предпочтения.

    2. Кого из членов вашей группы вы, напротив, не хотели бы видеть в составе новой группы (класса)? Запишите их под номером 2 в порядке отклонения».

Листы с ответами испытуемых на предложенные вопросы обрабатываются, и имеющаяся в них информация переносится в специальную таблицу (табл. 22), называемую социометрической матрицей.

Социометрическая матрица

Слева по вертикали и сверху по горизонтали в социометрической матрице перечисляются фамилии членов исследуемой группы в одном и том же порядке, например, в алфавитном или под шифром с соответствующими номерами. В строках социометрической матрицы, где указаны фамилии членов группы, цифрами от 1 и выше каким-либо определенным цветом, например — синим, отмечаются выборы, сделанные данным членом группы. Соответствующие цифры проставляются в клетках пересечения его строки со столбцом, где указана фамилия выбираемого им человека.

В приведенном в табл. 22 фрагменте социометрической матрицы отмечены, например, выборы, сделанные Ивановым: второй его выбор приходится на Егорова, первый — на Сидорова, третий — на Петрова. Точно так же, но цифрами другого цвета, например, красного, отмечаются сделанные отклонения. В том случае, если выборы или отклонения являются взаимными, то соответствующий факт отмечается в социометрической матрице заключением цифр в кружки того же самого цвета, который характеризует выборы или отклонения.

Крайние правые столбцы и нижние строки социометрической матрицы являются итоговыми. В них вносятся суммарные данные о количестве выборов и отклонений, полученных и сделанных каждым из членов группы. Подсчетом количества синих цифр в строке каждого члена группы устанавливается число сделанных им выборов, и соответствующие данные записываются в первый правый столбец социометрической матрицы. Сведения о сделанных отклонениях получаются тем же путем, но за счет определения количества красных цифр, имеющихся в строке, относящейся к соответствующему испытуемому. Эти сведения заносятся во второй правый столбец социометрической матрицы.

Для того, чтобы определить, сколько выборов получил член группы, надо посчитать количество синих цифр, имеющихся в столбце с фамилией этого члена группы, и результат записать в первую нижнюю строку социометрической матрицы. Аналогичным образом определяется и отмечается в матрице во второй ее нижней строке число полученных отклонений. В заключение устанавливается общее число всех выборов и всех отклонений, сделанных членами данной группы, и эти результаты вписываются в те клетки социометрической матрицы, которые расположены в правом нижнем ее углу (в табл. 22 они отмечены знаками математической суммы).

Просматривая нижние строки заполненной социометрической матрицы, можно определить лидера в данной группе. Им будет тот из ее членов, который получил наибольшее число выборов. По количеству отклонений можно также определить того, кто вызывает к себе наибольшие антипатии. На его долю придется наибольшее число отклонений.

Обработка и интерпретация результатов

Более детальную и наглядную картину отношений, сложившихся в группе (классе), можно получить, построив специальные диаграммы, называемые социограммами. Это — выполненные по определенной схеме рисунки, на которых при помощи соответствующих условных обозначений отмечаются все выявленные в исследованной группе выборы и отклонения. Чаще всего строятся так называемые социограммы-мишени (рис. 65) и индивидуальные социограммы, относящиеся к данному испытуемому, к лидеру и отвергаемому большинством членов группы (рис. 66).

Число концентрических окружностей, из которых состоит социограмма-мишень, обычно соответствует максимальному количеству выборов, полученных в данной группе кем-либо из ее членов. На примере социограммы-мишени, представленной на рис. 65, мы можем убедиться в том, что в данной гипотетической группе максимальное число полученных выборов равняется одиннадцати. Это — то число выборов, которое получил лидер в группе. Он условно показан на социограмме в центре. Остальные участники группы располагаются на социограмме-мишени на периферии в пределах тех окружностей, которые соответствуют числу полученных ими выборов. От центра к периферии это число уменьшается. Наконец, за пределами всех окружностей, имеющихся на социограмме-мишени, располагаются те члены группы, которых не выбрал никто. Это — изолированные от остальных участники группы, не имеющие положительных взаимоотношений с другими членами. Выборы и отклонения на социограмме-мишени (такие социограммы строятся отдельно для выборов и для отклонений или комбинированно) отмечаются со- ответственно стрелками синего и красного цветов, направленными от того, кто выбрал, к тому, кого он выбрал (или, соответственно, отклонил).

Социограмма-мишень группы, состоящей из 20 человек

В центре индивидуальной социограммы (рис. 66) располагается тот член группы, чьи отношения данная индивидуальная социограмма представляет, а вокруг него кружками обозначаются остальные участники группы, с которыми у данного человека установились определенные отношении (те, кого он выбрал или отклонил, и те, кто его самого выбрал или отклонил). Те члены группы, с которыми сложились более тесные положительные или отрицательные отношения, на индивидуальной социограмме располагаются ближе к центру, а те, с кем сложились менее тесные отношения, — дальше к периферии. Первые изображаются при помощи кружков большей, а вторые — меньшей величины.

Индивидуальные социограммы

Представляемые на социограммах данные нередко для получения более подробной информации о положении человека в системе внутригрупповых отношений дополняются числовыми показателями — индексами. Наиболее известный из них индекс групповой сплоченности, который характеризует систему групповых отношений в целом. Его формула выглядит следующим образом:

индекс групповой сплоченности

где: Сn — показатель групповой сплоченности на эмоциональномежличностном уровне;

К — общее число взаимных выборов, сделанных членами данной группы;

— максимально возможное число взаимных выборов в данной группе.

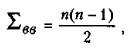
Показатель К устанавливается по социометрической матрице, а показатель определяется, в свою очередь, по формуле:

максимально возможное число взаимных выборов в данной группе

где n — число членов в изученной группе.

Достаточно представительную и разностороннюю информацию о положении человека в системе групповых взаимоотношений можно получить, например, при помощи следующих дополнительных социометрических индексов:

    1. Разницы между числом выборов, сделанных данным членом группы, и количеством сделанных им же отклонений. Этот индекс свидетельствует об отношении данного человека к группе в целом.

    2. Разницы между числом полученных выборов и количеством полученных отклонений. Это — оценка отношения группы к данному человеку.

    3. Количество взаимных выборов, имеющихся у данного человека с остальными членами группы. Это — индекс положительных взаимосвязей данного человека с остальными членами группы.

    4. Количество полученных взаимных отклонений. Это — индекс взаимной неприязни, проявляемой в отношениях данного человека с другими членами группы.

Первые два индекса могут принимать как положительные, так и отрицательные значения. Третий и четвертый индексы также можно перевести в показатели, имеющие плюсы и минусы: если соответствующие индексы окажутся выше среднего их значения по группе, то им можно приписать знак «+» (в случае, если речь идет о взаимных выборах) или знак «—» (если дело касается взаимных отклонений).

Совокупность плюсов и минусов, полученных данным человеком, показывает его персональный социометрический профиль. Например, профиль вида + + + + свидетельствует о том, что положение данного индивида в группе является благополучным во всех отношениях, а профиль вида--------о полном неблагополучии.

Промежуточные, смешанные варианты профилей, содержащие в себе плюсы и минусы, дают дифференцированную характеристику положения человека в различных подсистемах системы групповых отношений.

Окончание >>>

 

 

???????@Mail.ru