Главная >> Психодиагностика. Немов

Психодиагностика

Словарь основных терминов. Психодиагностика

АГРЕССИВНОСТЬ

— не вызванная объективными обстоятельствами (как необходимая ответная реакция), неспровоцированная враждебность человека по отношению к людям, окружающему миру; свойство или черта личности, проявляющаяся в тенденции нападать, причинять неприятности, наносить вред людям, животным, окружающему миру.

АКЦЕНТУАЦИИ ХАРАКТЕРА

— сильное развитие, выделение на фоне других какой-либо одной черты характера человека, отличающей его от большинства окружающих людей. А.х. определяют типичное поведение человека в различных жизненных ситуациях.

АЛЬТЕРНАТИВНАЯ ГИПОТЕЗА

- гипотеза экспериментального исследования, включающая в себя такое объяснение его результатов, которое отличается от объяснения, содержащегося в другой гипотезе, конкурирующее с ней и оспаривающее её справедливость.

АЛЬТЕРНАТИВНОЕ РЕШЕНИЕ

- одно из возможных решений некоторой проблемы, столь же правдоподобное, как и другие решения. А.р. проблемы оспаривает справедливость возможного другого её решения. При наличии нескольких А.р. одной и той же проблемы ни одно из них не считается полностью и окончательно правильным.

АППАРАТУРНЫЕ ТЕСТЫ

— психологические тесты, предполагающие использование специальной аппаратуры, различных технических устройств для предъявления испытуемым информации или обработки результатов эксперимента.

АСТЕНИЧЕСКИЕ ЭМОЦИИ

- эмоциональные переживания, снижающие общий тонус организма, его активность и работоспособность, например, состояние подавленности, отчаяния, глубокого сожаления, грусти и т.п.

АФФИЛИАЦИЯ

— потребность человека в установлении и сохранении на долгое время добрых, эмоционально положительных отношений с окружающими людьми; стремление к эмоциональному сближению с людьми.

БЛАНКОВЫЕ ТЕСТЫ

— психологические тесты, основу которых составляют различного рода бланки с текстами, рисунками, схемами и т.п. Это, например, анкеты, опросники, таблицы и т.п.

ВАЛИДНОСТЬ ВНЕШНЯЯ ПСИХОДИАГНОСТИЧЕСКОЙ МЕТОДИКИ

— соответствие результатов психодиагностики, проводимой при помощи данной методики, независимым от самой методики внешним признакам, относящимся к поведению того человека, который подвергается психодиагностическому обследованию. Методика считается внешне валидной, если, например, с ее помощью оцениваются черты характера человека и внешне наблюдаемое его поведение согласуется с результатами проведенного тестирования.

ВАЛИДНОСТЬ ВНУТРЕННЯЯ ПСИХОДИАГНОСТИЧЕСКОЙ МЕТОДИКИ

— соответствие показателей, получаемых при помощи данной методики, тому определению оцениваемого психологического свойства, которое использовано в самой методике.

ВАЛИДНОСТЬ ПСИХОДИАГНОСТИЧЕСКОЙ МЕТОДИКИ

— соответствие результатов, получаемых при помощи данной методики, тому, для чего она была по замыслу предназначена. Слово «валидность» в переводе означает «ценность», «полезность».

ВАЛИДНОСТЬ ТЕОРЕТИЧЕСКАЯ (КОНСТРУКТИВНАЯ) ПСИХОДИАГНОСТИЧЕСКОЙ МЕТОДИКИ

- соответствие результатов тестирования, проведенного с помощью данной методики, показателям тех психологических качеств, которые теоретически связаны с оцениваемым свойством. Если, например, методика измеряет уровень развития мотива достижения успехов, то теоретически валидной она будет в том случае, если полученные показатели достоверно коррелируют с данными о самооценке, тревожности и уровне притязаний, теоретически связанными с мотивацией достижения успехов.

ВАЛИДНОСТЬ ЭМПИРИЧЕСКАЯ ПСИХОДИАГНОСТИЧЕСКОЙ МЕТОДИКИ

— соответствие результатов измерения, произведенного при помощи данной методики, опыту человека, его реальному поведению.

ВЕРИФИКАЦИЯ

— буквально «проверка правильности», достоверности, истинности чего-либо. В. при проверке научных понятий означает доказательство того, что явления, включаемые в объем и содержание данного понятия, действительно существуют и соответствуют определению этого понятия.

ВЫБОРКА

— группа людей, на которой проводится исследование. В противоположность В. генеральной совокупностью называют множество людей, на которых распространяются результаты исследования. В. является частью генеральной совокупности.

ВЫБОРКА ПРЕДСТАВИТЕЛЬНАЯ

- такая выборка (см.), которая произведена по правилам, т.е. отражает специфику генеральной совокупности как по составу, так и по индивидуальным характеристикам включенных в нее людей.

ВЫБОРОЧНАЯ ДИСПЕРСИЯ

- дисперсия (см.) или разброс данных, характеризующих выборку (см.).

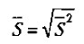
ВЫБОРОЧНОЕ ОТКЛОНЕНИЕ

- корень квадратный из величины дисперсии (см.). Определяется по формуле:

корень квадратный из величины дисперсии

ВЫБОРОЧНОЕ РАСПРЕДЕЛЕНИЕ (в математической статистике)

— упорядоченное расположение измеренных в эксперименте или в результате проведенной психодиагностики величин от наименьшей к наибольшей, сопровождаемое данными о каждой величине и частоте ее встречаемости в выборке (см.). В.р. нередко представляется в виде соответствующего графика.

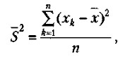
ВЫБОРОЧНОЕ СРЕДНЕЕ

— среднее значение некоторой величины, определенное по имеющейся выборке ее частных значений. Устанавливается по формуле:

среднее значение некоторой величины

где х — выборочное среднее,

хk — частные значения данной переменной величины,

n — количество частных значений переменной величины в выборке.

ГИПОТЕЗА

— научно обоснованное, вполне вероятное предположение, требующее, однако, специального доказательства для своего окончательного утверждения в качестве теоретического положения. Г. проверяется на истинность в экспериментальном или эмпирическом научном исследовании.

ГИСТОГРАММА

— специальное графическое изображение распределения нескольких дискретных величин в выборке (см.). Представляет собой совокупность расположенных рядом друг с другом и вытянутых вверх прямоугольников или прямоугольных в сечении столбиков, высота которых пропорциональна частоте встречаемости каждого из значений переменной в выборке.

«ГОРЬКАЯ КОНФЕТА»

— условно принятое название одного из психолого-педагогических экспериментов, проводимого с детьми старшего дошкольного и младшего школьного возраста. В этом эксперименте дети получают задание достать конфету, расположенную на середине большого и широкого стола, причем это можно сделать только таким способом, который с моральной точки зрения не вполне оправдан. Дети разного возраста в отсутствие экспериментатора достают конфету таким способом и получают ее в награду. При этом у некоторых дошкольников не возникает угрызений совести по поводу того, что они решили задачу морально запретным способом, в то время как большая часть дошкольников переживает по данному поводу: конфета кажется им «горькой», у некоторых из них даже появляются слезы, когда экспериментатор хвалит их за успешно решенную задачу. Отсюда название эксперимента — «горькая конфета».

ГРУППА КОНТРОЛЬНАЯ

— та группа испытуемых, с которой сравниваются результаты, полученные в ходе исследования в экспериментальной группе (см.) с целью вывода о том, подтвердилась ли проверяемая в данном исследовании гипотеза.

ГРУППА ЭКСПЕРИМЕНТАЛЬНАЯ

- та группа испытуемых, на которой проводится исследование с целью проверки некоторой гипотезы.

ГРУППОВЫЕ НОРМЫ

— правила, образцы поведения, способы мышления и переживания, принятые в качестве норм в данной социальной группе, разделяемые и активно защищаемые большинством ее членов.

ДЕЛЕНИЕ ОБЪЕМА ПОНЯТИЯ

- логическая операция, в результате которой проводится исследование и называются классы объектов, охватываемые данным понятием. Д.о.п. — это перечисление всех классов объектов, входящих в содержание данного понятия.

ДИСПЕРСИЯ ВЫБОРОЧНАЯ

- математико-статистический показатель разброса экспериментальных или психодиагностических данных, характеризующий среднюю величину отклонения индивидуальных показателей от среднего значения переменной по выборке. Д. определяется по формуле:

математико-статистический показатель разброса экспериментальных или психодиагностических данных

где S — дисперсия;

х — среднее значение переменной по выборке;

х k — индивидуальные значения переменной по выборке;

n — число частных значений переменной в данной выборке.

ДИСПЕРСИОННЫЙ АНАЛИЗ

- совокупность методов математико-статистического анализа, объектом рассмотрения которых являются дисперсии (см.) случайных величин. Д.а. позволяет оценивать и сравнивать между собой дисперсии различных выборок, отвечая на вопросы о том, каковы эти дисперсии, являются они одинаковыми или разными и др.

ЖИТЕЙСКИЕ ПОНЯТИЯ

— те понятия, которые используются людьми в повседневном языке, в обыденном общении. От научных понятий Ж.п. отличаются меньшей определенностью и точностью, большей изменчивостью формулировок, слабой операционализацией (см.) и верификацией (см.).

ЗАВИСИМЫЕ ПЕРЕМЕННЫЕ

— те переменные величины, которые в научном эксперименте и в его гипотезах рассматриваются как возможные следствия действия факторов, называемых независимыми переменными (см.).

ЗОНА ПОТЕНЦИАЛЬНОГО (БЛИЖАЙШЕГО) РАЗВИТИЯ

— скрытые возможности в психологическом саморазвитии человека, которые открываются при оказании ему минимальной подсказки или внешней помощи.

ИНТЕРВАЛ (в математической статистике)

— упорядоченный набор величин, находящихся в заданных числовых границах и характеризуемых их средней величиной (см.).

ИНТЕРВЬЮ

— метод психологического исследования, предполагающий личную беседу исследователя с испытуемым (см.). В ходе такой беседы исследователь задает испытуемому ряд вопросов и по ответам на них делает выводы о психологических особенностях данного человека.

ИСПЫТУЕМЫЙ

— человек, который является участником психологического исследования и на котором проводятся психологические опыты.

КЛИЕНТ

— человек, обратившийся за помощью к практическому психологу. В отличие от К. пациентом называют больного человека, обращающегося за помощью к врачу.

КОЖНО-ГАЛЬВАНИЧЕСКАЯ РЕАКЦИЯ (КГР)

- непроизвольная электрическая реакция поверхности кожи человека, выражающаяся в снижении ее электрического сопротивления вследствие активизации деятельности потовыделительных желез. Используется при изучении эмоциональных и других состояний организма.

КОЛЛЕКТИВ

— психологически зрелая, высокоразвитая социальная группа, между членами которой установились хорошие человеческие отношения и которые работают эффективно и слаженно.

КОМПЛЕКСЫ

— устойчивые, эмоционально отрицательные переживания, состояния человека, связанные с недостатком у него каких-либо важных способностей, качеств личности, форм социального поведения. К., как правило, существуют и действуют на подсознательном уровне.

КОНТЕНТ-АНАЛИЗ

— метод психологического изучения различных текстов, позволяющий по их содержанию определенно судить о психологии авторов этих текстов или тех людей, о которых говорится в этих текстах.

КОРРЕЛЯЦИОННЫЙ АНАЛИЗ

- метод математико-статистического анализа, связанный с вычислением и изучением коэффициентов корреляций (см.) между переменными.

КОЭФФИЦИЕНТ КОРРЕЛЯЦИИ

- математико-статистический показатель связи или зависимости, существующей между переменными величинами. Изменяется в пределах от -1 (абсолютная обратно пропорциональная зависимость) через 0 (отсутствие какой-либо зависимости) до +1 (абсолютная прямо пропорциональная зависимость).

КРИТЕРИИ ВАЛИДНОСТИ

— независимые показатели и признаки, по которым можно судить о валидности (см.) данной методики. С К.в. сравниваются результаты, получаемые в процессе практического применения методики в психодиагностических целях.

КРИТЕРИЙ ФИШЕРА

— математико-статистический критерий, пользуясь которым можно судить о сходстве и различиях в дисперсиях (см.) случайных величин.

ЛИДЕР (в группе)

— член социальной группы, чей авторитет, власть или полномочия безоговорочно признаются остальными членами данной группы и которому они добровольно подчиняются, находясь под прямым или косвенным его психологическим влиянием.

ЛОКУС КОНТРОЛЯ

— индивидуально-психологическое понятие, характеризующее то, в чем данный человек видит основные причины собственного поведения и поступков других людей. При внутреннем Л. к. эти причины помещаются в самом человеке, в его психологии, а при внешнем Л. к. они располагаются вне данного человека, например, во внешних объективных обстоятельствах его жизни.

МАЛАЯ ГРУППА

— небольшая по численности социальная группа людей, включающая от 2-3 до 20-30 человек, занятых общим для них делом и находящихся друг с другом в прямых личных взаимоотношениях.

МАТЕМАТИЧЕСКАЯ СТАТИСТИКА

- область современной математики, основанная на теории вероятностей (см.) и занятая поиском законов изменения и способов измерения случайных величин, обоснованием методов расчетов, производимых с такими величинами.

МЕДИАНА

— величина, разделяющая ряд упорядоченных значений на две равные по количеству входящих в них значений половины, так что справа и слева от М. оказываются одинаковые количества значений.

МЕТОД ВКЛЮЧЕННОГО НАБЛЮДЕНИЯ

- метод научного исследования социально-психологических процессов, происходящих в малых группах. При М.в.н. сам экспериментатор является участником тех процессов, которые он наблюдает одновременно как бы со стороны и изнутри.

МЕТОД ВНЕШНЕЙ ЭКСПЕРТНОЙ ОЦЕНКИ

- метод психодиагностики, опирающийся на мнения людей — экспертов, хорошо знающих оцениваемое ими явление и способных дать ему достоверные, объективные оценки. М.в.э.о. предполагает изучение и обобщение мнений всех экспертов, высказавшихся по поводу данного явления.

МЕТОД ЭКСПЕРТОВ

—см. метод внешней экспертной оценки.

МЕТОДЫ СРАВНЕНИЯ ВЫБОРОЧНЫХ ДАННЫХ

- методы математической статистики (см.), предполагающие анализ, обобщение и сравнение между собой данных, полученных на некоторой выборке испытуемых или на нескольких разных выборках.

MMPI

— известный личностный психологический тест, расшифровываемый как Миннесотский Многофакторный Личностный Опросник. Широко применяется в клинической психодиагностике для оценивания степени отклонения от медицинской нормы уровня развитости многих личностных свойств человека.

МОДА (в математической статистике)

— числовое значение изучаемого признака, наиболее часто встречающееся в изученной выборке (см.).

МОТИВАЦИЯ ДОСТИЖЕНИЯ УСПЕХОВ

- стремление человека добиваться успехов в разных видах деятельности, особенно тогда, когда его результаты сравниваются с достижениями других людей или оцениваются.

НАДЕЖНОСТЬ ПСИХОДИАГНОСТИЧЕСКОЙ МЕТОДИКИ

— качество психодиагностической методики, связанное с возможностью получать с ее помощью достаточно стабильные результаты, мало зависящие от случайного стечения обстоятельств.

НЕЗАВИСИМЫЕ ПЕРЕМЕННЫЕ

- те переменные, которые в эксперименте рассматриваются как возможные причины изменения зависимых переменных (см.).

НОРМАТИВНАЯ РЕГУЛЯЦИЯ ПОВЕДЕНИЯ

- регулирование поведения человека со стороны социальных норм, принятых в обществе или в группе или усвоенных им в процессе жизни.

НОРМАТИВНОЕ СОЗНАНИЕ

— сфера сознания человека, связанная с пониманием и осознанием, в также принятием им существующих в обществе норм и правил поведения.

НОРМА ТЕСТА

— усредненная оценка по данному тесту большой группы нормальных, здоровых людей определенного возраста и культуры. С Н.т. сравниваются показатели отдельных людей, полученные путем их обследования по данному тесту, и на основе такого сравнения делается вывод о том, находятся ли они выше или ниже нормы, обладая, соответственно, повышенным или пониженным уровнем психологического развития.

ОБЪЕКТ ИССЛЕДОВАНИЯ

- тот объект, на котором проводится научное исследование. Объектом психологического исследования, например, является человек или группа людей.

ОБЪЕМ ПОНЯТИЯ

— класс или классы объектов, явлений и т.п., к которым относится или которые включает в себя данное понятие.

ОДНОЗНАЧНОСТЬ ПСИХОДИАГНОСТИЧЕСКОЙ МЕТОДИКИ

— способность методики отражать в своих показателях только то явление, для диагностики которого она предназначается. Если признаки, используемые в методике для выводов об уровне развития психологического свойства, отражают не только данное, но и другие свойства человека, то соответствующая методика не считается однозначной.

ОПЕРАЦИОНАЛИЗАЦИЯ

— требование, предъявляемое к научным понятиям. О. понятия предполагает указание на конкретные операции или действия, выполнив которые, человек может убедиться в том, что данное понятие не является пустым, т.е. в том, что включенные в него явления действительно существуют.

ОСНОВНОЙ ПСИХОФИЗИЧЕСКИЙ ЗАКОН

- закон, в соответствии с которым сила ощущения, возникающего у человека под воздействием некоторого стимула, пропорциональна логарифму величины стимула, выражаемой в физических единицах. Формула О.п.з. выглядит следующим образом:

Основной психофизический закон

ПЕРЕМЕННАЯ ВЕЛИЧИНА

—величина, значения которой не остаются постоянными и изменяются от опыта к опыту. П.в. может принимать различные значения.

ПИЛОТАЖНОЕ ИССЛЕДОВАНИЕ

- предварительное исследование некоторой проблемы, направленное на проверку правильности задуманного эксперимента, его замысла, гипотез и методик, плана и программы. В П.и. уточняются детали будущего эксперимента, поэтому такое исследование иногда называют пробным.

ПОДШКАЛА ТЕСТА

— относительно самостоятельная часть психологического теста, предназначенная для оценки или измерения одного из нескольких психологических свойств, изучаемых при помощи данного теста.

ПОЛОРОЛЕВАЯ ИДЕНТИФИКАЦИЯ

- процесс и результат приобретения ребенком психологических и поведенческих особенностей человека определенного пола, включая типичное ролевое поведение представителей данного пола.

ПРАКТИЧЕСКИЙ ПСИХОЛОГ

- специалист -психолог, имеющий соответствующее высшее образование и решающий задачи психодиагностики, психокоррекции (см.) и психологического консультирования (см.), связанные не с проведением научных исследований, а с оказанием прямой психологической помощи людям.

ПРЕДМЕТ ИССЛЕДОВАНИЯ

— сторона объекта исследования (см.), которая в данном случае изучается. Например, объектом исследования может быть человек в целом, а предметом исследования — особенности его внимания.

ПРЕДМЕТНАЯ ИГРА

— игра ребенка с материальными предметами или их заменителями, подчиненная культурно-историческим особенностям данного предмета, его назначению в жизни людей. Например, игра с книгой как с источником и хранителем информации будет предметной, а игра с той же самой книгой, где она используется в качестве подставки, не будет предметной.

ПРОБЛЕМА

— сложный, требующий решения научный или практический вопрос, как правило, такой, прежние попытки решения которого нельзя признать вполне удовлетворительными. П. — это вопрос, который все еще стоит на повестке дня и требует своего решения.

ПРОЕКТИВНЫЕ ТЕСТЫ

- психологические тесты (см.), основанные на получении информации о человеке на базе механизма проекции — не вполне осознанного приписывания другим людям, событиям и вещам собственных мыслей и чувств человека.

ПРОФЕССИОНАЛЬНАЯ ПОДГОТОВКА

- подготовка человека к овладению той или иной профессией и выполнению на достаточно высоком уровне соответствующей профессиональной деятельности.

ПРОФЕССИОНАЛЬНЫЙ ОТБОР

- отбор людей по психологическим и другим качествам, необходимым для овладения и успешного выполнения той или иной профессиональной деятельности.

ПРОЦЕССУАЛЬНЫЕ ТЕСТЫ

— психологические тесты, основная задача которых состоит в изучении познавательных и других психологических процессов. В П.т. используются данные о психических процессах для выводов о состоянии и свойствах человека.

ПСИХОКОРРЕКЦИЯ

— совокупность прикладных психологических знаний, умений и навыков, связанных с оказанием человеку практической психологической помощи в исправлении его психологии или поведения.

ПСИХОЛОГИЧЕСКОЕ КОНСУЛЬТИРОВАНИЕ

- область деятельности практического психолога (см.), связанная с оказанием психологической помощи людям в форме консультаций и советов.

ПСИХОТЕРАПИЯ

— область теоретических знаний и совокупность практических методов психологического воздействия на больных людей с целью избавления их от разного рода заболеваний. П. — сфера деятельности, пограничная между медициной и психологией (см. также психокоррекцию).

РЕГРЕССИОННЫЙ АНАЛИЗ

— метод математической статистики, позволяющий свести множество частных зависимостей между отдельными значениями переменных к их непрерывной линейной зависимости. В результате Р.а. получают прямую линию, которая наилучшим образом иллюстрирует (аппроксимирует — говоря математическим языком) общий характер зависимости между изучаемыми переменными величинами.

РЕЛЕВАНТНЫЕ ХАРАКТЕРИСТИКИ СИТУАЦИИ ПСИХОЛОГИЧЕСКОГО ТЕСТИРОВАНИЯ

- характеристики ситуации тестирования, от которых непосредственно зависят его результаты. Р.х.с.п.т. включают в себя восприятие испытуемым ситуации тестирования, целей и задач тестирования, личности экспериментатора и его поведения и др.

РЕФЕРАТ

— краткое изложение совокупности идей, содержащихся в том или ином тексте или в нескольких текстах: книгах, статьях, докладах и т.п.

РЕФЕРЕНТНАЯ ГРУППА

— группа людей, на которую ориентируется человек, в которой он заимствует для себя цели, ценности, идеи, нормы, правила поведения. Р.г. в значительной степени определяет психологию и поведение того человека, для которого она является референтной.

РЕФЛЕКСИЯ

— сосредоточение сознания человека на самом себе, на своих образах, мыслях и чувствах. Р. — это также изучение человеком своей собственной психологии или своего собственного поведения.

СИСТЕМА

— сложно организованный объект, состоящий из множества более или менее устойчивых элементов, взаимосвязанных друг с другом. Создание, функционирование и развитие С. подчиняется особым законам, не сводимым и не выводимым из законов функционирования отдельных элементов или частных связей между ними.

СОДЕРЖАНИЕ ПОНЯТИЯ

— совокупность признаков, выделяемых данным понятием в тех классах объектов, к которым оно относится (см. также объем понятия).

СОЦИАЛЬНАЯ РОЛЬ

— система норм, форм и правил поведения, ожидаемого от человека, занимающего в обществе или в социальной группе (см.) определенное положение.

СОЦИАЛЬНАЯ УСТАНОВКА

— устойчивое внутреннее отношение человека к кому-либо или к чему-либо. Су. включает в себя три компонента: когнитивный (знания), эмоциональный (переживания) и поведенческий (действия), которые в целом и определяют отношение к соответствующему объекту.

СОЦИОКУЛЬТУРНАЯ АДАПТАЦИЯ ТЕСТА

- изменение, приспособление данного теста, созданного в одной стране, культуре или эпохе, к другим социальным условиям, где он применяется впервые. С.а.т. включает в себя как изменение самих тестовых заданий, так и уточнение норм.

СОЦИОМЕТРИЧЕСКАЯ МЕТОДИКА

- название методики, предназначенной для выявления, анализа, табличного, графического и индексного представления человеческих личных взаимоотношений, сложившихся в малой группе (см.).

СОЦИОМЕТРИЧЕСКИЙ ТЕСТ

- стандартизированная социометрическая методика (см.), имеющая установленные, проверенные нормы и стандартизированную процедуру ее практического использования.

СТАНДАРТИЗИРОВАННОЕ НАБЛЮДЕНИЕ

- проводимое в научных целях наблюдение за поведением людей, предполагающее наличие определенной схемы наблюдения, в которой отражено то, что нужно наблюдать, каким образом вести наблюдение и представлять его результаты.

СТАТИСТИКА

— термин, имеющий два основных значения: а) область математических или практических знаний, в которой представлены способы статистического анализа или обобщенные количественные данные о чем-либо; б) частный показатель, с помощью которого эти данные представляются.

СТЕНИЧЕСКИЕ ЭМОЦИИ

— переживания, повышающие общий тонус организма, увеличивающие его активность и работоспособность.

СУБТЕСТ

— часть психологического теста или его подшкала (см.), имеющая самостоятельное значение и оценивающая то или иное отдельное свойство.

ТЕМА ИССЛЕДОВАНИЯ

— аспект проблемы (см.), вопрос, который специально изучается в данном конкретном исследовании.

ТЕМАТИЧЕСКИЙ АППЕРЦЕПТИВНЫЙ ТЕСТ (ТАТ)

- тест проективного типа, созданный американским психологом Г. Марреем. Основу ТАТ составляет серия сюжетно неопределенных картинок, на которых представлены люди в малопонятных ситуациях. Испытуемые по этим картинкам пишут связные рассказы-сочинения, анализ которых позволяет судить о психологии самих испытуемых.

ТЕОРИЯ ВЕРОЯТНОСТЕЙ

- раздел современной математики, рассматривающий случайные величины, а также законы, характеризующие множества и отношения случайных величин.

ТЕСТ

— стандартизированная методика психологического исследования, предназначенная для точных количественных оценок и строгих качественных определений психологии и поведения человека с ориентацией на установленные нормы оценок.

ТЕСТИРОВАНИЕ

— процесс применения тестов и других психодиагностических методик для изучения и оценки психологии и поведения человека.

ТЕСТ КЕТТЕЛА

— методика, разработанная англо-американским психологом Р. Кеттелом и предназначенная для выявления количественной оценки 16 различных черт личности человека (факторов — см.).

ТЕСТ РОРШАХА

— методика психодиагностики личности, разработанная немецким ученым Роршахом для изучения неосознаваемых склонностей и побуждений человека. Т.Р. представляет собой серию симметричных цветных пятен, интерпретация которых человеком позволяет судить о его мотивации.

ТЕСТ СОЦИАЛЬНО-ПСИХОЛОГИЧЕСКОЙ САМОАТТЕСТАЦИИ ГРУППЫ КАК КОЛЛЕКТИВА (СПСК)

- методика, предназначенная для оценки уровня социально-психологического развития малой группы, как коллектива, с представлением в виде индексов и диаграммы системы существующих в нем коллективистских отношений.

ТЕСТЫ ДОСТИЖЕНИЙ

— группа психологических тестов, в основу которых положена оценка практических достижений человека в тех или иных видах деятельности, а также в решении различных задач.

ТЕСТЫ ИНТЕЛЛЕКТА

— группа психологических тестов, предназначенных для изучения мышления человека и количественной оценки уровня его интеллектуального развития.

ТЕСТЫ СОСТОЯНИЙ И СВОЙСТВ

- психологические тесты, предназначенные для диагностики устойчивых состояний и свойств человека как личности.

ТОЧНОСТЬ ПСИХОДИАГНОСТИЧЕСКОЙ МЕТОДИКИ

- способность данной методики достаточно точно оценивать степень развития у человека тех психологических качеств, для диагностики которых она предназначена. Чем больше различных градаций уровня развития данных качеств позволяет получать методика, тем она точнее.

ТРЕВОЖНОСТЬ

— психологическое состояние повышенного беспокойства, эмоционального напряжения человека. Т. может выступать как ситуативное, т.е. временное, состояние человека и как устойчивая черта его личности. Соответственно, различают ситуативную и личностную Т.

УРОВЕНЬ СУБЪЕКТИВНОГО КОНТРОЛЯ (УСК)

- способность человека контролировать себя и свое поведение, управлять всем этим, брать на себя ответственность за происходящее с ним и вокруг него.

ФАКТОР

— математико-статистическое понятие, означающее общую причину многих случайных изменений совокупности переменных величин, событий и т.п. Ф. выявляется при помощи специальной математической процедуры, называемой факторным анализом (см.).

ФАКТОРНЫЙ АНАЛИЗ

— процедура или метод математической статистики, основанный на анализе корреляций случайных величин и направленный на то, чтобы выявлять группы случайных величин, взаимно коррелирующих друг с другом. Математико-статистическая основа выявляемых таким образом корреляций называется фактором (см.).

ФРУСТРАЦИЯ

— эмоционально-отрицательное переживание человеком какой-либо неудачи, утраты, крушения надежд, сопровождаемое чувством безысходности, тщетности прилагаемых усилий.

Х2 -КРИТЕРИИ

— математико-статистический критерий, на основе которого судят о статистической значимости связей, существующих между двумя или несколькими переменными, часть которых рассматривается как причина, часть — как следствия наблюдаемых изменений.

ЧЕРТЫ ЛИЧНОСТИ

— устойчивые индивидуальные психологические свойства человека, характеризующие его как личность. Ч.л. могут служить определениями характера, мотивами поведения и т.п.

ЭКСПЕРИМЕНТ

— метод научного исследования, предполагающий создание некоторых искусственных (экспериментальных) условий и направленный на выявление причинно-следственных зависимостей, существующих между изучаемыми переменными.

ЭЛЕКТРОКАРДИОГРАММА

— технически осуществленная запись электрической активности сердечной мышцы в течение определенного промежутка времени, сделанная с помощью специального прибора, называемого электрокардиографом.

ЭЛЕКТРОМИОГРАММА

— запись электрической активности скелетных мышц, осуществленная посредством устройства, называемого миографом.

ЭЛЕКТРОЭНЦЕФАЛОГРАММА

- запись электрической активности мозга человека или его отдельных участков, выполненная в течение некоторого промежутка времени при помощи прибора, именуемого электроэнцефалографом.

ЭМПИРИЧЕСКОЕ НАУЧНОЕ ИССЛЕДОВАНИЕ

- исследование, основанное на получении, анализе и обобщении опытных данных.

 

 

???????@Mail.ru