Главная >> Русский язык 6 класс. Разумовская

Имя прилагательное

§ 21. Словообразование имён прилагательных (окончание)

    Упр. 210

1. Составьте предложения с данными однокоренными прилагательными, учитывая их лексическое значение.

    1) Простой — обыкновенный, не выделяющийся из других.

    2) Простенький — недостаточно изящный, заурядный по внешности.

    3) Простоватый — недалёкий по уму, глупый.

2. Чем объясняется смысловое различие данных однокоренных прилагательных?

    Упр. 211

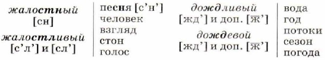
1. Составьте и запишите словосочетания, используя слова из правого и левого столбиков. Вслух прочитайте словосочетания, соблюдая правильное произношение.

2. Разберите по составу однокоренные прилагательные, определите способ их образования.

    Упр. 212

Как правильно сказать? В случае затруднения проверьте себя по толковому словарику.

    Упр. 213

1. Образуйте слова и постройте из них словообразователь ные цепочки. Опираясь на структуру слов, объясните их правописание. Что объединяет полученные словообразовательные цепочки слов?

2. Приведите собственные примеры, иллюстрирующие данные словообразовательные цепочки.

    Упр. 214

Запишите словообразовательные цепочки, зашифрованные в данных схемах. Объясните правописание производных слов, укажите, каким способом они образованы.

    Упр. 215

    1. От указанных слов по данной модели образуйте и запишите слова.

    шум, забота, дом, звезда, билет, сила, сердце.

2. Что объединяет записанные вами слова? Объясните их правописание.

3. Какое из образованных слов произносится как

    Упр. 216

Самостоятельно проверьте, как вы усвоили тему § 21. Для этого обратитесь к разделу «Словообразование частей речи» электронного приложения к учебнику и выполните упражнения. Закончив работу, оцените её и сделайте выводы.

    Упр. 217

Используя материалы § 21, составьте контрольные вопросы на тему «Словообразование имён прилагательных».

<<< К началу

 

 

???????@Mail.ru