Главная >> Русский язык 6 класс. Разумовская

Имя числительное

§ 51. Количественные числительные. Их разряды, склонение, правописание (продолжение)

    Упр. 610

1. Запишите словами данные словосочетания. Прочитайте их вслух, чётко проговаривая имена числительные.

    Около 70 секунд, 70 дециметрами, 80 километрами, более 300 лет, 60 минутами, около 80 дециметров, не менее 500 килограммов, не более 50 инженеров, свыше 400 процентов, от 400 до 800 процентов, 800 сантиметрам.

одиннадцать
девяносто
сто
триста
тысяча
миллион
миллиард

2. С двумя-тремя словосочетаниями составьте предложения.

Числительное тысяча склоняется, как имя существительное 1-го склонения (туча), числительные миллион, миллиард — как существительные 2-го склонения (стадион).

    Упр. 611

Просклоняйте словосочетания тысяча (грамм), миллион (книга).

    Упр. 612

Образуйте порядковые числительные и запишите их с данными существительными в составе предложений.

    3 тысячи (экземпляр), 8 миллионов (тираж), 4 тысячи (иллюстрация), 7 миллионов (избиратель), 6000 (пассажир).

    Упр. 613

1. Прочитайте тексты вслух, чётко проговаривая имена числительные.

Спишите, вставляя пропущенные буквы, раскрывая скобки. Числительные заменяйте словами.

    1) Берёза — довольно (быстр..) р..стущее дерево. В (бл..г..) приятных условиях она уже в первый год иногда дост..гает 50 см, а к 60—80 годам 35 (метровой) высоты и 70 сантиметров толщины. К рубк.. берёзовые леса готовы уже в 50 лет, а к 70 годам берёза — это чуде(е, ст)ный (лес..) м..териал.

    2) Дуб — дерево высокое, дост..гает 40—50 метров в высоту, а в д..аметре — свыше метра. Живёт дуб не менее 500 лет, но есть среди дубового с..мейства и в..т..раны, насчитывающие более 1000 лет.

    3) Ермак так прославился своей силой, отвагой и храбростью, что сибирские татары, ха́нты и ма́нси считали его вооружение волшебным, пр..носящим удачу на войне. За кольчугу Ермака, которую Кучум подарил одному из татарских князей, тому давали целое состояние: 10 семей пленных, 50 верблюдов, 500 лошадей, 200 быков и коров, 1000 овец. Но князь не продал кольчугу даже за такую цену.

            (Из книги «Рассказы о русской истории»)

2. Объясните постановку тире в первом и во втором текстах. Расскажите, в каких ещё случаях ставится тире; приведите примеры.

3. Какое орфографическое правило следует помнить при написании числительных 50—80, 500—900? Как называются такие числительные по своему составу? Какое правило соблюдается при их склонении?

4. Выпишите из текстов причастия и разберите их по составу.

5. В третьем тексте найдите устаревшее слово и объясните его лексическое значение. Проверьте свой ответ по толковому словарику.

    Упр. 614

Запишите словосочетания, заменяя числа словами. Затем просклоняйте их, обозначая корни и окончания слов.

    60 ветеранов, 900 саженцев.

Дробные числительные — это особая группа количественных числительных. Они употребляются, когда нужно выразить словами следующие значения: часть от целого числа или целое число и его часть.

Например: 1/3 участка — одна третья часть участка; 2/5 урожая — две пятых части урожая; 0,5 процента — ноль целых пять десятых процента-, 1,3 урожая — одна целая три десятых урожая.

При склонении дробных числительных изменяются обе части: первая часть склоняется как количественное числительное, вторая — как прилагательное во множественном числе, например: к двум третьим, с двумя пятыми.

    Упр. 615

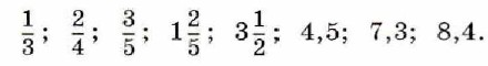
Прочитайте дробные числительные, а затем запишите их, заменяя числа словами.

    Упр. 616

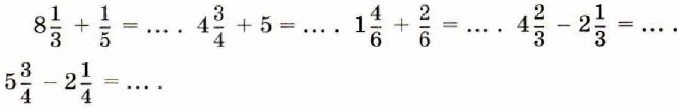
Решите примеры, а затем прочитайте их, чётко проговаривая числительные.

    Упр. 617

Какие значения выражают дробные числительные? Приведите свои примеры.

Составьте и запишите словосочетания с дробными числительными.

    2) Г..ктар, т..р(?). .тория, центнер, ..пельсин, пр..цент, доля с..кунды, ..г..род, к..л..метр, к..л..грам(?).

Числа можно прочитать по-разному: одна целая и одна вторая; один с половиной; одна целая и пять десятых. Но можно заменить все эти выражения одним словом — полтора, которое тоже относится к дробным числительным, как и слово полтораста (обозначает число — 150).

Слово полтора сочетается с существительными мужского и среднего рода (полтора часа, полтора яблока), слово полторы — с существительными женского рода (полторы минуты).

Числительные полтора (1,5) — полторы во всех падежах, кроме именительного и винительного, имеют форму полу́тора.

Числительное полтораста (150) во всех падежах, кроме именительного и винительного, имеет форму полутораста.

Запомните: всегда полтора́, но: по́лтора суток.

    Упр. 618

Устно просклоняйте следующие сочетания слов: полтора часа, полторы недели, полтораста рублей.

<<< К началу      Окончание >>>

 

 

???????@Mail.ru