Главная >> Сборник задач по физике 7-9 кл. Перышкин. Ответы

Работа и мощность. Энергия

27. Энергия. Потенциальная и кинетическая энергия

616. Каким видом механической энергии обладает заведенная пружина механической игрушки?

617. Деревянный и железный бруски одинакового объема находятся на одной высоте. Какой брусок обладает большей потенциальной энергией?

618. Могут ли два тела разной массы обладать одинаковой потенциальной энергией? В каком случае это возможно?

619. Могут ли два тела, находящиеся на разной высоте, обладать одинаковой потенциальной энергией? В каком случае это возможно?

книга лежала на столе

620. Сначала книга лежала на столе (пунктир на рисунке 78). Затем ее поставили вертикально (рис. 78). Изменится ли потенциальная энергия книги?

621*. На полу лежат медные чайник и миска одинаковой массы. Их подняли и поставили на стол. Одинаково ли при этом изменилась их потенциальная энергия?

622. Какой потенциальной энергией относительно земли обладает человек массой 80 кг на высоте 20 м?

Три коробочки

623. Три коробочки, массы которых m1 = 20 г, m2 = 30 г, m3 = 40 г, расставлены как показано на рисунке 79. Коробка m1 находится на полке, расположенной на высоте h1 — 0,5 м над столом. Коробка m2 лежит на столе, высота которого от пола h2 = 1 м. Коробка m3 стоит на полу. Какова потенциальная энергия каждой коробочки относительно:

    а) поверхности пола;
    б) поверхности стола;
    в) поверхности полки?

624. На какую высоту нужно поднять кирпич массой 2 кг, чтобы его потенциальная энергия возросла на 19,6 Дж?

625. Дирижабль массой 1 т находится на высоте 50 м. На какую высоту ему надо подняться, чтобы его потенциальная энергия возросла на 245 кДж?

626. Линейка массой 30 г и длиной 20 см лежит на поверхности стола. Ее взяли за один конец и поставили вертикально. Насколько изменилась потенциальная энергия линейки?

627*. Недеформированную пружину, коэффициент жесткости которой равен 40 Н/м, сжали на 5 см. Какой стала потенциальная энергия пружины?

628. Тело, масса которого 5 кг, находится на высоте 12 м над поверхностью земли. Вычислите его потенциальную энергию:

    а) относительно поверхности земли;
    б) относительно крыши здания, высота которого 4 м.

629*. Недеформированную пружину динамометра растянули на 10 см, и ее потенциальная энергия стала 0,4 Дж. Каков коэффициент жесткости пружины?

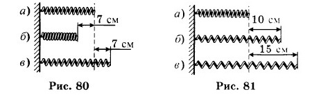
630*. Стальную пружину из недеформированного состояния а сначала сжали на 7 см до состояния б, а затем растянули на 7 см до состояния в (рис. 80). Найдите отношение потенциальных энергии деформированной пружины в состоянии б к потенциальной энергии пружины в состоянии в.

Стальная пружина

631*. Пружину из недеформиро- ванного состояния а растянули сначала на 10 см (рис. 81, состояние б), потом на 15 см (рис. 81, состояние в). Коэффициент жесткости пружины 800 Н/м. Сравните потенциальные энергии пружины в состоянии б и в. В каком случае и насколько потенциальная энергия пружины больше?

Окончание >>>

 

 

???????@Mail.ru