Главная >> Сборник задач по физике 7-9 кл. Перышкин. Ответы

Электромагнитное поле

64. Электромагнитное поле. Электромагнитные волны. Конденсатор. Колебательный контур

1821. Почему в горных ущельях телевизионная антенна плохо принимает сигнал?

1822. В связи с чем на телевизионном экране возникают помехи?

1823. Какое вещество лучше отражает электромагнитные волны: железо или дерево?

1824. Почему радиоприемник в машине замолкает, когда машина проезжает под мостом?

1825. Если позвонить в дверной звонок во время работы радиоприемника в длинноволновом диапазоне, в приемнике послышится треск. С чем это связано?

1826. Что вызывает радиопомехи?

1827. Если вы разговариваете по радиотелефону при включенном телевизоре, на экране могут возникать искажения изображения. Чем это объясняется?

1828. Разговаривая по радиотелефону, вы ходите по квартире. При этом слышимость в трубке то ухудшается, то улучшается. Почему?

1829*. Почему радиолокатор излучает электромагнитные волны не непрерывно, а ультракороткими (десятимиллиардные доли секунды) импульсами?

1830. Определите период колебаний радиоволн длиной 10 см, излучаемых радиолокатором.

1831. Плоский конденсатор состоит из двух параллельно расположенных в воздухе пластинок, каждая площадью 100 см2, расстояние между ними 0,2 см. Определите емкость конденсатора.

1832. Определите, какой из двух конденсаторов обладает большей емкостью. Первый представляет собой стеклянную пластинку, покрытую с обеих сторон металлическими листами, каждый площадью S = 500 см2. Толщина стекла d = 4 мм, диэлектрическая постоянная ε = 7. Второй конденсатор представляет собой лист парафинированной бумаги, на которую с обеих сторон положено по металлическому листу площадью S = 250 см2. Толщина листа бумаги d = 0,2 мм, диэлектрическая постоянная парафина ε = 2.

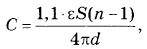
(Указание. Емкость плоского конденсатора в пикофарадах рассчитывается по формуле:

Емкость плоского конденсатора в пикофарадах рассчитывается по формуле

где S — площадь одной из обкладок конденсатора в квадратных сантиметрах; d — расстояние между обкладками, или толщина диэлектрика в сантиметрах, ε — диэлектрическая постоянная диэлектрика между обкладками.)

1833. Определите емкость конденсатора, состоящего из п параллельных пластин, по следующим данным:

    1) S = 50 см2, ε = 5, d = 0,002 см, n = 20;
    2) S = 0,2 м2, ε = 7, d = 0,1 мм и n = 100.

(Указание. Емкость конденсатора в пикофарадах, состоящего из нескольких параллельных пластин, определяют по формуле:

Емкость конденсатора в пикофарадах

где ε, S и d имеют то же значение, что и в предыдущей задаче, а n — общее число пластин.)

1834. Определить емкость конденсаторов по следующим данным:

    1) S = 5 см2, n = 33, d = 0,03 мм, ε = 1;
    2) S = 10 см2, n = 15, d = 0,004 мм, ε = 6.

1835. Для радиоприемника требуется изготовить постоянный конденсатор с парафинированной бумагой емкостью С, равной 2200 пФ, если S =4 см2 и d = 0,05 мм. Сколько нужно сделать для этого пластин?

1836. Определить число пластин так называемого блокировочного конденсатора, рассчитанного на емкость 440 пФ, если площадь пластины S = 4 см2, d = 0,02 см и ε = 4.

1837. Емкость конденсатора 10 мкФ. Как изменится его емкость, если парафинированную бумагу заменить пластинками слюды, имеющими ту же толщину, что и парафинированная бумага?

1838*. Определить емкость лейденской банки по следующим данным: высота 40 см, диаметр наружной цилиндрической поверхности 20 см, толщина стенок стекла 3 мм, диэлектрическая постоянная стекла 5.

1839. Конденсатор емкостью С = 100 мкФ заряжен до потенциала U = 90 кВ. Определите его заряд в кулонах.

1840. Конденсатор емкостью С 2640 пФ подключен к сети городского тока, напряжение в которой U = 120 В. Определить заряд конденсатора в кулонах.

1841*. Проводя свой опыт по обнаружению электромагнитных волн, Герц создавал искру в первичном контуре, а вторичный контур (не присоединенный к источнику тока) отодвигался на расстояние от первичного. Вот отрывок из его наблюдений: «Изучая искры во вторичном проводнике на больших расстояниях от первичного, где, разумеется, искры должны быть очень слабыми, я замечал, что в некоторых положениях контура, например, при приближении к стене, искры снова делаются вполне отчетливыми, но в непосредственной близости к стене они внезапно исчезают». О чем это говорит?

1842. Открытый колебательный контур излучает электромагнитные волны длиной 1500 м. Какова частота электромагнитных колебаний контура?

1843. Вычислите период и частоту электромагнитных волн длиной 6 мм, полученных русским физиком П.Н. Лебедевым в 1897 г.

1844. По соглашению между странами сигнал бедствия SOS должен иметь длину волны 600 м. На какой частоте должны его передавать терпящие бедствие суда?

1845. Передатчик искусственного спутника Земли работает на частоте электромагнитных колебаний 29 МГц. Определите длину волны посылаемого им сигнала.

 

 

???????@Mail.ru